Ответы
Ответ дал:
1
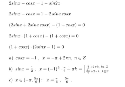
Решение во вложении ..........................................................................
Приложения:

Вас заинтересует
1 год назад
1 год назад
2 года назад
3 года назад
3 года назад
8 лет назад