Помогите пожалуйста!
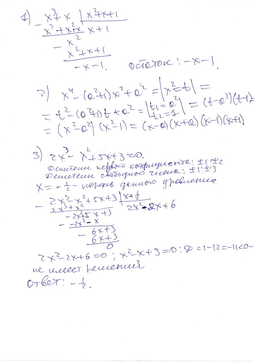
1)Найти остаток от деления многочлена f(x)=x^3+x на многочлен p(x)=x^2+x+1
2)Разложить на множители многочлен x^4-(a^2+1)x^2+a^2
3)Решить уравнение 2x^3-x^2+5x+3=0
Ответы
Ответ дал:
0
решение во вложении
Приложения:

Вас заинтересует
2 года назад
2 года назад
8 лет назад
8 лет назад
10 лет назад
10 лет назад
10 лет назад