• Предмет: Математика
  • Автор: Ammer
  • Вопрос задан 2 года назад

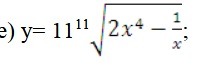
Найти производную 11^11*√2x^4-1/x

Приложения:

makuzkinap195y6: Так 11 в 11 степени или 11 умножить на корень 11-й степени из выражения?
ПрофиЗнания: Почему удалили моё задание, вы спервы узнайте потом удаляйте, выше фото он написал 11 в степени 11 умножить на квадратный корень , вы удалили моё решение просто так, я требую объяснение!
makuzkinap195y6: 121=11·11, т.е. 11^2. Неправильно была взята производная от предполагаемого квадратного корня. Т.е. решение было неправильным в любом случае
ПрофиЗнания: Ты косой или что, задание было квадратный корень производная 1/2 корень из х и ещё производная внутри корня
ПрофиЗнания: как таких модераторов берут ,если ты стажёр иди учи правила
makuzkinap195y6: Производная от корня=1/(2корня) · производную от подкоренного выражения.
ПрофиЗнания: я тоже самое написал
makuzkinap195y6: С точки зрения математики у Вас написано: 1/2·корень, т.е. (1/2)·(корень) или (корень)·(1/2) из-за того, что Вы не поставили в нужных местах скобки, а умножение и деление имеют равный приоритет.
makuzkinap195y6: Мы же не знаем, что Вы имели в виду, а проверяем по факту.

Ответы

Ответ дал: Vasily1975
0
Перепишем выражение для функции в виде y(x)=11*(2*x⁴-x⁻¹)^(1/11). Тогда y'(x)=11*1/11*[(2*x⁴-x⁻¹)^(-10/11)]*(2*4*x³-(-1)*x⁻²)=[(2*x⁴-1/x)^(-10/11)]*(8*x³+1/x²). Ответ: y'(x)=[(2*x⁴-1/x)^(-10/11)]*(8*x³+1/x²).
Вас заинтересует