Ответы
Ответ дал:
0
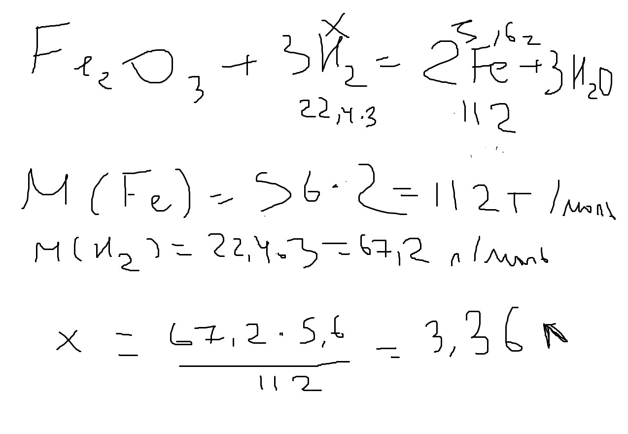
Ответ 3,36 литра
Второй вариант решения через моль:
n=m/M=m(Fe)/M(Fe)=5,6/112=0,05
V(H2)=n*M=0,05*67,2=3,36 литра
Второй вариант решения через моль:
n=m/M=m(Fe)/M(Fe)=5,6/112=0,05
V(H2)=n*M=0,05*67,2=3,36 литра
Приложения:
Вас заинтересует
2 года назад
2 года назад
2 года назад
2 года назад
3 года назад
3 года назад
9 лет назад