Ответы
Ответ дал:
0
Могу сказать, как решать,
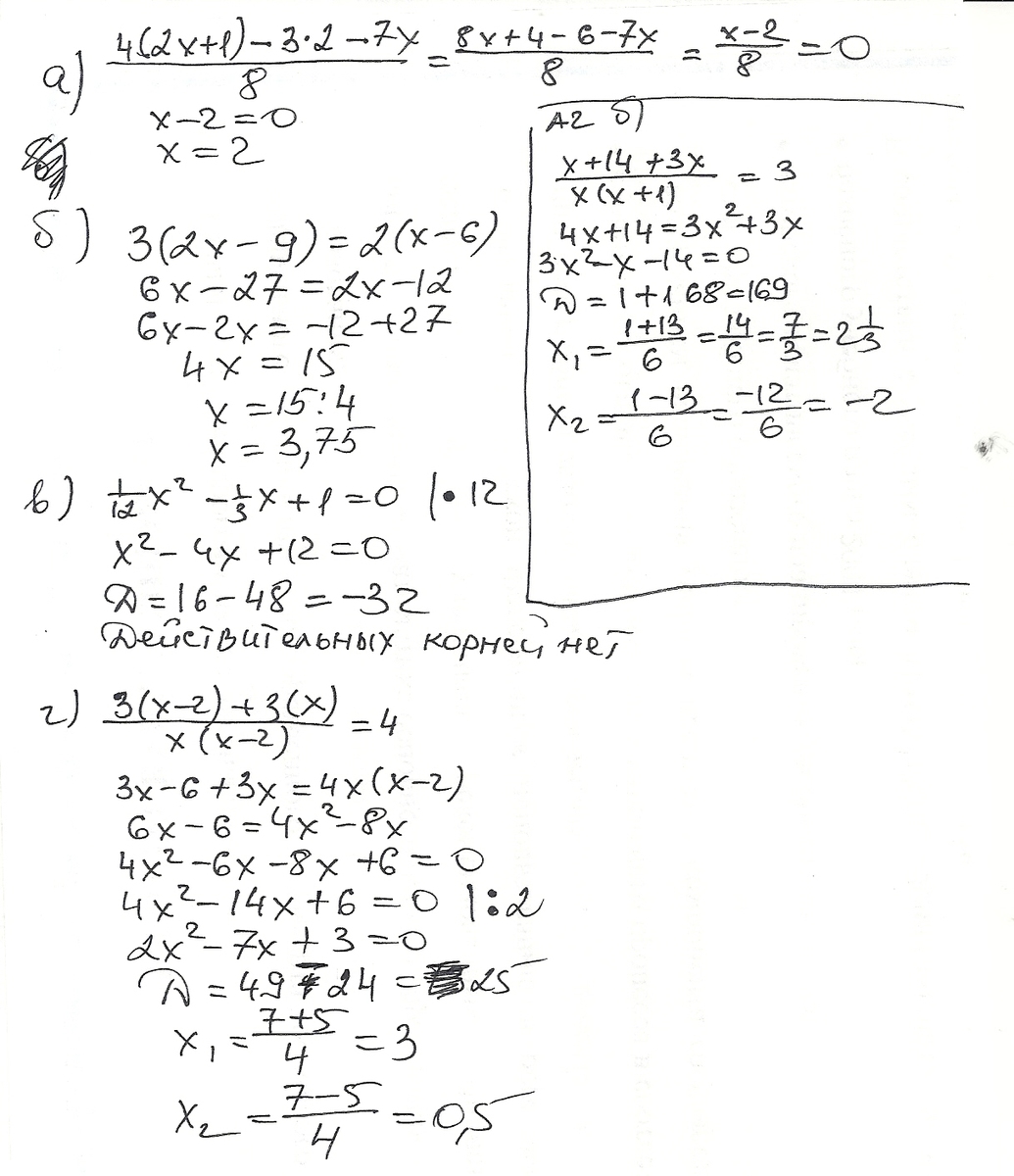
а) избавься от дробей путём умножения этих дробей на общее число, чтобы ушли дроби, это число 8.
После этого приведи подобные слагаемые, после этого оставь в одной стороне уравнения число с неизвестным, остальное поменяв знак в другую сторону и , найди чему равен Х
Под буквой В) так же.
Под буквой Г) приведи перенеси в левую часть 4-ку и приведи к общему знаменателю, после приведи подобные слагаемые в числителе и посчитай.
Последний пример решается так же, как и под Г).
Как решить пример под Б)(первый пример под б)) я не помню к сожалению.
а) избавься от дробей путём умножения этих дробей на общее число, чтобы ушли дроби, это число 8.
После этого приведи подобные слагаемые, после этого оставь в одной стороне уравнения число с неизвестным, остальное поменяв знак в другую сторону и , найди чему равен Х
Под буквой В) так же.
Под буквой Г) приведи перенеси в левую часть 4-ку и приведи к общему знаменателю, после приведи подобные слагаемые в числителе и посчитай.
Последний пример решается так же, как и под Г).
Как решить пример под Б)(первый пример под б)) я не помню к сожалению.
Ответ дал:
0
...............................................
Приложения:

Вас заинтересует
2 года назад
2 года назад
8 лет назад
8 лет назад
10 лет назад
10 лет назад
10 лет назад