• Предмет: Математика
  • Автор: assasinver
  • Вопрос задан 2 года назад

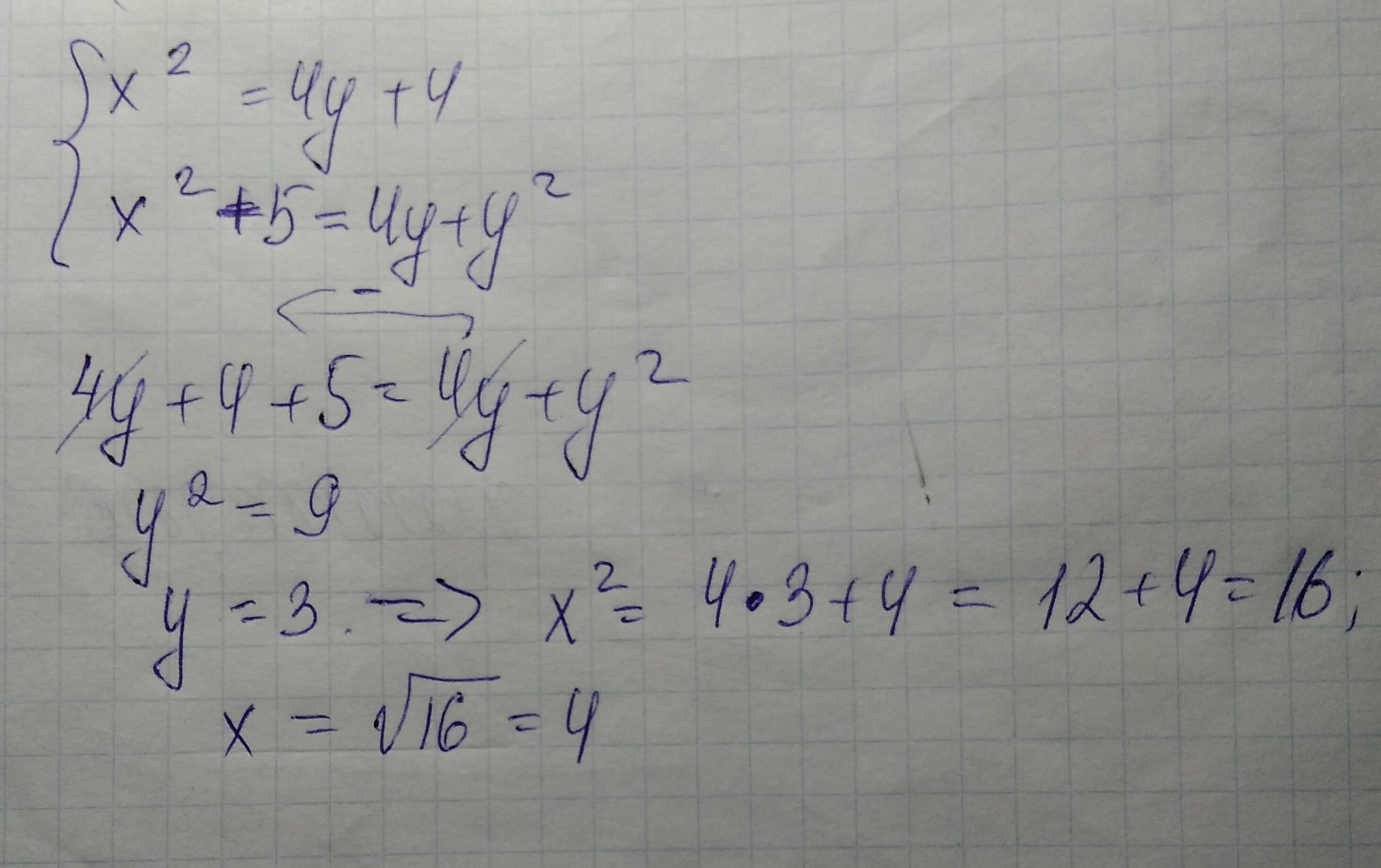
{x^2=4y+4 {x^2+5=4y+y^2

Ответы

Ответ дал: аноним464
3
ну я думаю разберёшься
Приложения:
Вас заинтересует