Ответы
Ответ дал:
2
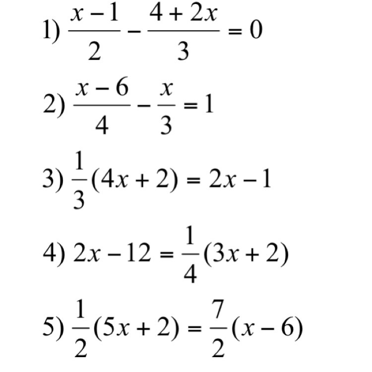
смотри фото)))))))))))
Приложения:

plaksesh:
большое спасибо,очень помог✌
Вас заинтересует
1 год назад
1 год назад
2 года назад
2 года назад
3 года назад
3 года назад
8 лет назад