• Предмет: Математика
  • Автор: Викусик212
  • Вопрос задан 2 года назад

Помогите решить уравнение!
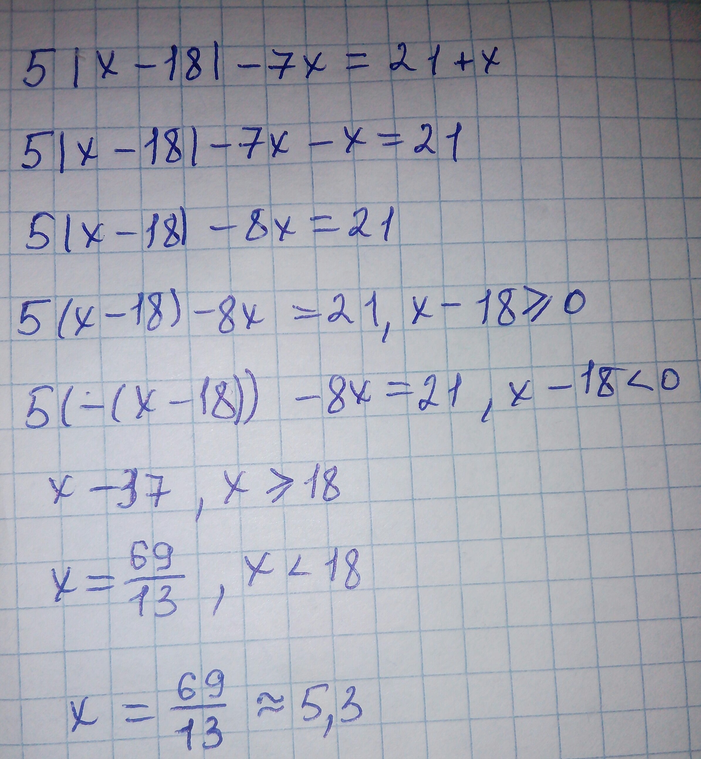
5|×-18|-7×=21+×
Где:|×-18|-это числа в МОДУЛЕ

Ответы

Ответ дал: Prostochel11
3
Решение на фотографии
Приложения:
Вас заинтересует