Ответы
Ответ дал:
0
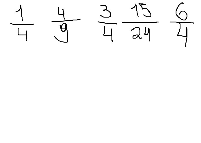
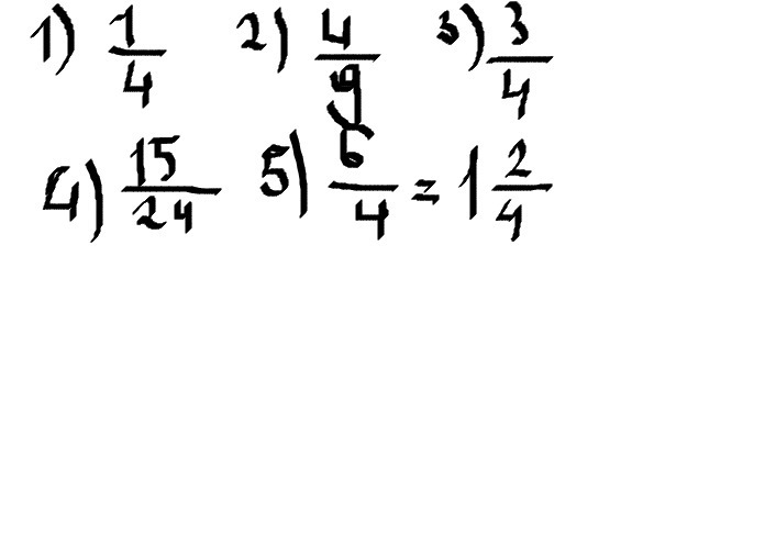
1) 1/4 на 7
2)4/9 на 9
3)3/4 на 24
4)15/24 на 2 и 5
5)6/4 на 2,3,6
2)4/9 на 9
3)3/4 на 24
4)15/24 на 2 и 5
5)6/4 на 2,3,6
Приложения:


Ответ дал:
0
напиши как мне писать
Ответ дал:
0
Да
Ответ дал:
0
Так и писать
Ответ дал:
0
как
Ответ дал:
0
Скинула
Вас заинтересует
2 года назад
2 года назад
3 года назад
9 лет назад
9 лет назад
10 лет назад