Ответы
Ответ дал:
0
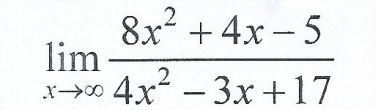
1)ты должен разделить все на х в квадрате
2) ты должен каждое число взять и найти предел
3) лимит каждого числа ты должен сложить
4) там получается в числителе 8 + 0 - 0
5) в знаменателе 4 - 0 + 0
6) лимит выражения равен 2
2) ты должен каждое число взять и найти предел
3) лимит каждого числа ты должен сложить
4) там получается в числителе 8 + 0 - 0
5) в знаменателе 4 - 0 + 0
6) лимит выражения равен 2
Вас заинтересует
2 года назад
2 года назад
3 года назад
3 года назад
9 лет назад
9 лет назад