Ответы
Ответ дал:
0
Это надо решать через Дискременант (не полные квадратные уравнения)
16x²-81=0
a=16, b=0, c=81
D= b²-4ac
D= 0- 4*81*16= 5184, >0, значит 2 х.
Х¹, Х² = -b± √D / 2a
X¹= -0+√5184 /2*81 = 72/162= 12/27.
X²= -0-√5184 /2*81 = -72/162= -12/27
16x²-81=0
a=16, b=0, c=81
D= b²-4ac
D= 0- 4*81*16= 5184, >0, значит 2 х.
Х¹, Х² = -b± √D / 2a
X¹= -0+√5184 /2*81 = 72/162= 12/27.
X²= -0-√5184 /2*81 = -72/162= -12/27
Ответ дал:
0
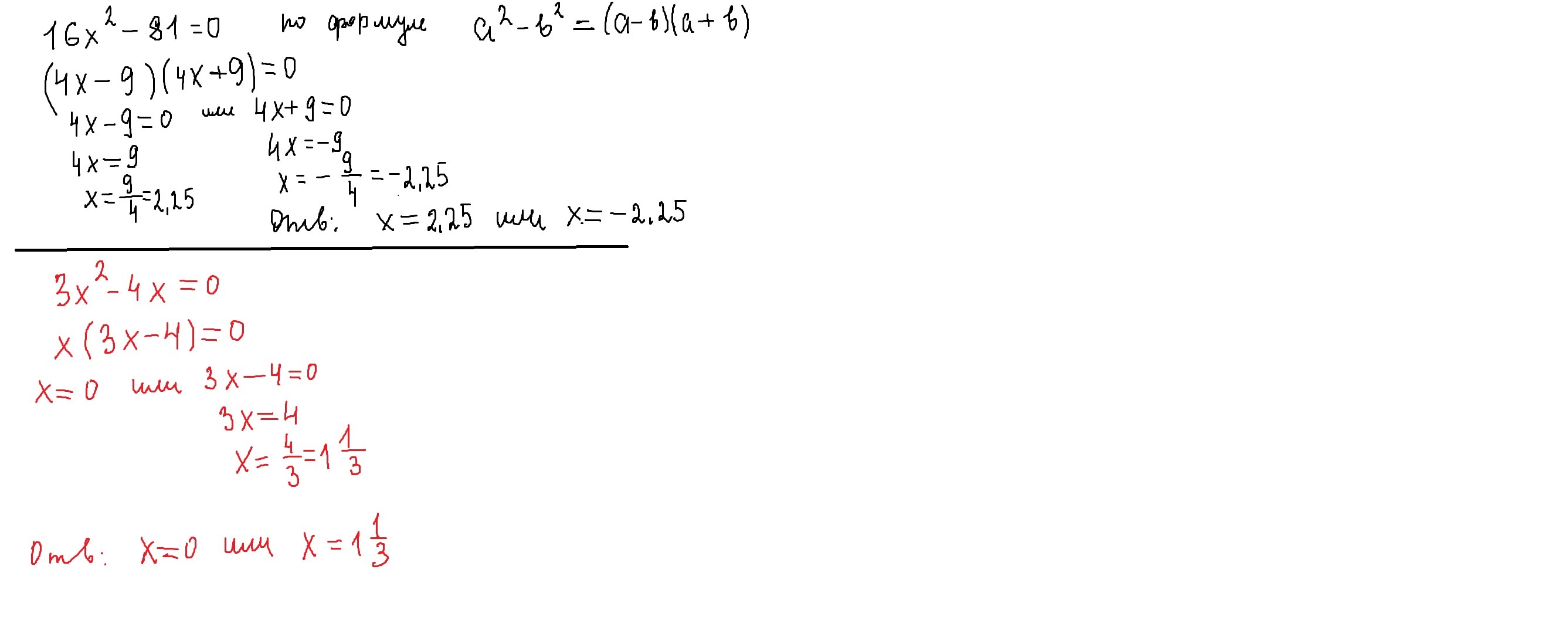
для решения этих уравнений их надо разложить на множители.
в 1 уравнении применим формулу а²-в²=(а-в)(а+в) .Произведение множителей равно 0,когда один из множителей равен 0.Поэтому приравниваем каждую скобку к 0 и находим Х.
во 2 уравнении выносим за скобки общий множитель,получаем произведение,равное 0.Дальше- как в 1 уравнении.
в 1 уравнении применим формулу а²-в²=(а-в)(а+в) .Произведение множителей равно 0,когда один из множителей равен 0.Поэтому приравниваем каждую скобку к 0 и находим Х.
во 2 уравнении выносим за скобки общий множитель,получаем произведение,равное 0.Дальше- как в 1 уравнении.
Приложения:
Вас заинтересует
2 года назад
2 года назад
3 года назад
3 года назад
9 лет назад
10 лет назад