• Предмет: Математика
  • Автор: Sundelly
  • Вопрос задан 2 года назад

Решить номер 13
Только под буквой а

Приложения:

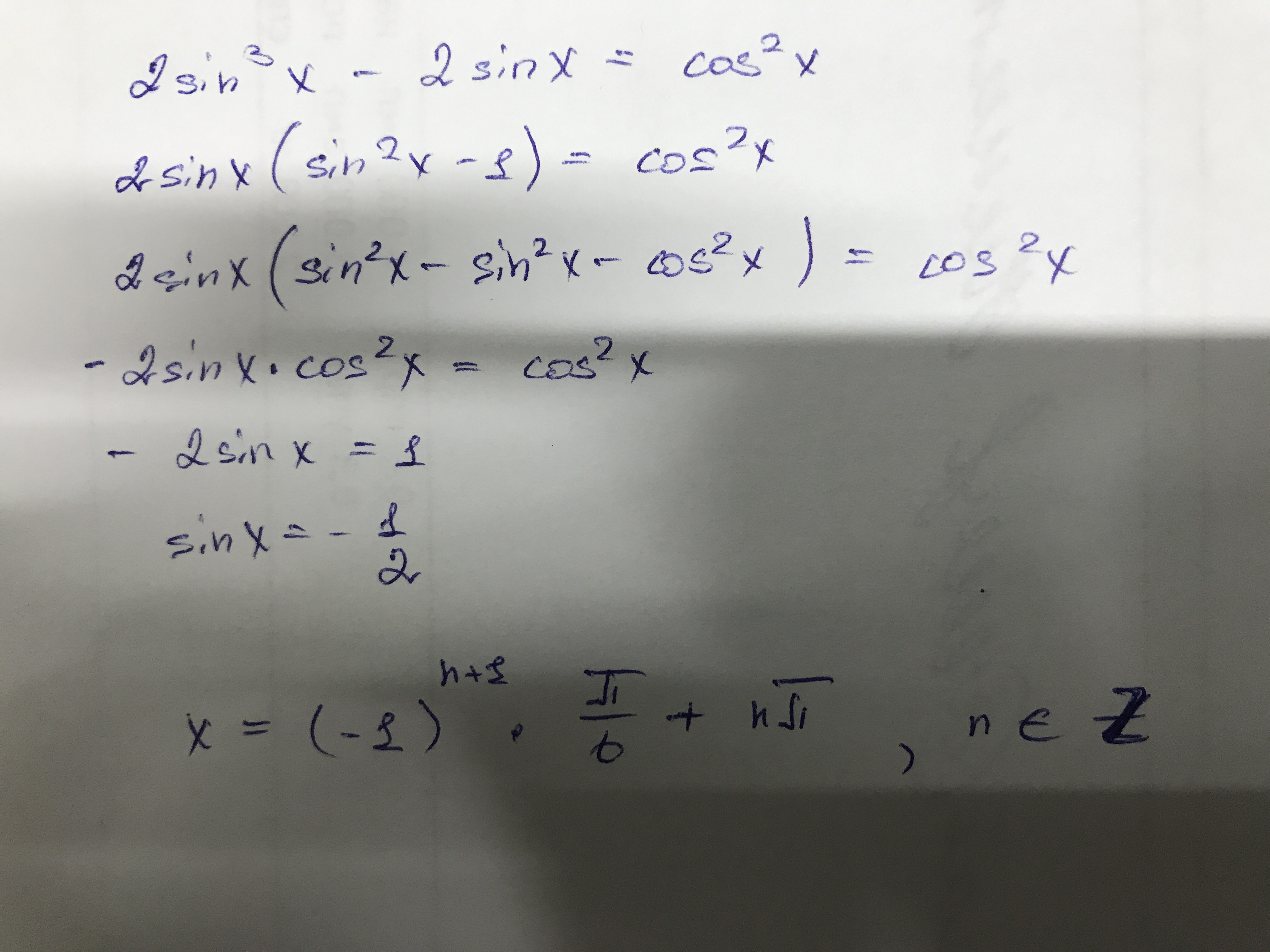
Аноним: 2sinx(sin^2x-1)=cos^2x
Аноним: -2sinx*cos^2x-cos^2x=0
Аноним: cos^2x(-2sinx-1)=0
Аноним: cosx=0; x=pi/2+pik
Аноним: -2sinx=1; sinx=-1/2; x=-pi/6+2pik; x=7pi/6+2pik
Аноним: ответ для последнего случая можно записать универсально еще...

Ответы

Ответ дал: GergalovStanislav
3
Прошу прощения за почерк.
Приложения:

Sundelly: спс бро
Sundelly: парень ты крут
Вас заинтересует