Ответы
Ответ дал:
0
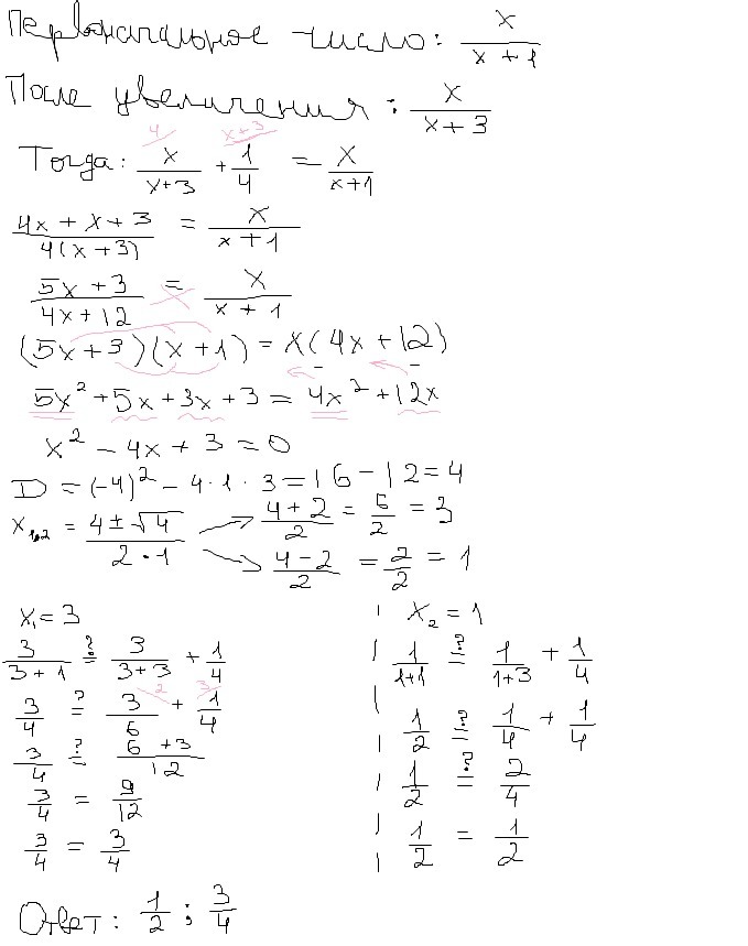
Х/Х+1 - 1/4=Х/Х+3
Х(Х+3) - (Х+1)(Х+3)/4=Х(Х+1)
Х^2+3Х-(Х^2+4Х+3)/4=Х^2+Х
4Х^2+12Х-Х^2-4Х-3=4Х^2+4Х
Х^2-4Х+3=0
Д1=4-3=1
Х=2+/-1=3;1
Либо первоначальная дробь равна 3/4, либо 1/2
Х(Х+3) - (Х+1)(Х+3)/4=Х(Х+1)
Х^2+3Х-(Х^2+4Х+3)/4=Х^2+Х
4Х^2+12Х-Х^2-4Х-3=4Х^2+4Х
Х^2-4Х+3=0
Д1=4-3=1
Х=2+/-1=3;1
Либо первоначальная дробь равна 3/4, либо 1/2
Ответ дал:
0
Более подробный ответ:
Приложения:
Вас заинтересует
2 года назад
2 года назад
2 года назад
3 года назад
3 года назад
9 лет назад