• Предмет: Алгебра
  • Автор: 78787877
  • Вопрос задан 2 года назад

Выполните преобразование по соответствующей формуле

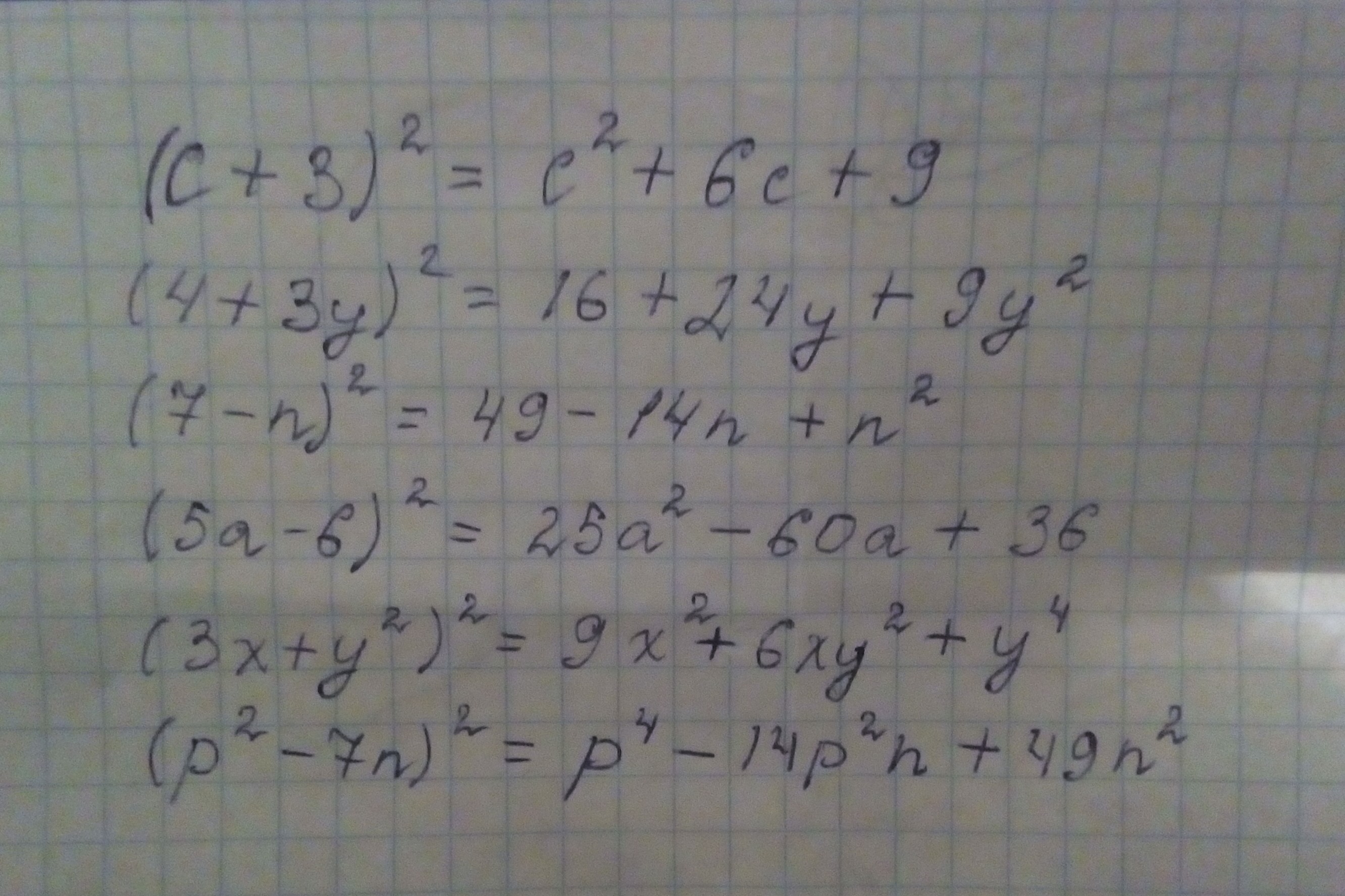
(c + 3)^2

(4 + 3y)^2

(7-n)^2

(5a-6)^2

(3x+y^2)^2

(p^2-7n)^2


50 Баллов СРОЧНО!

С картинкой желательно,7 класс

Ответы

Ответ дал: GirlDemoness
2
вот. формулы учи...и тогда легче решать будет тебе...............очень легко было....
Приложения:

78787877: Спасибо! Еще 2 задания осилишь?))
GirlDemoness: всмысле?
78787877: Еще 2 задания
78787877: Уже 2 ча голову ломаю
78787877: Час*
GirlDemoness: я либо тормоз, либо Где ещё два задания?!?!?
78787877: Преобразуйте в многочлен

(p+2)^2+3p^2

81x^2-(9x+7y)^2

a(a-7)+(a+3)^2

c(2c-1)^2

-4(p-2a)^2
78787877: это 2
GirlDemoness: о боже.. я это ещё не проходила...сори...
78787877: Окей
Вас заинтересует