• Предмет: Математика
  • Автор: rinchan666
  • Вопрос задан 2 года назад

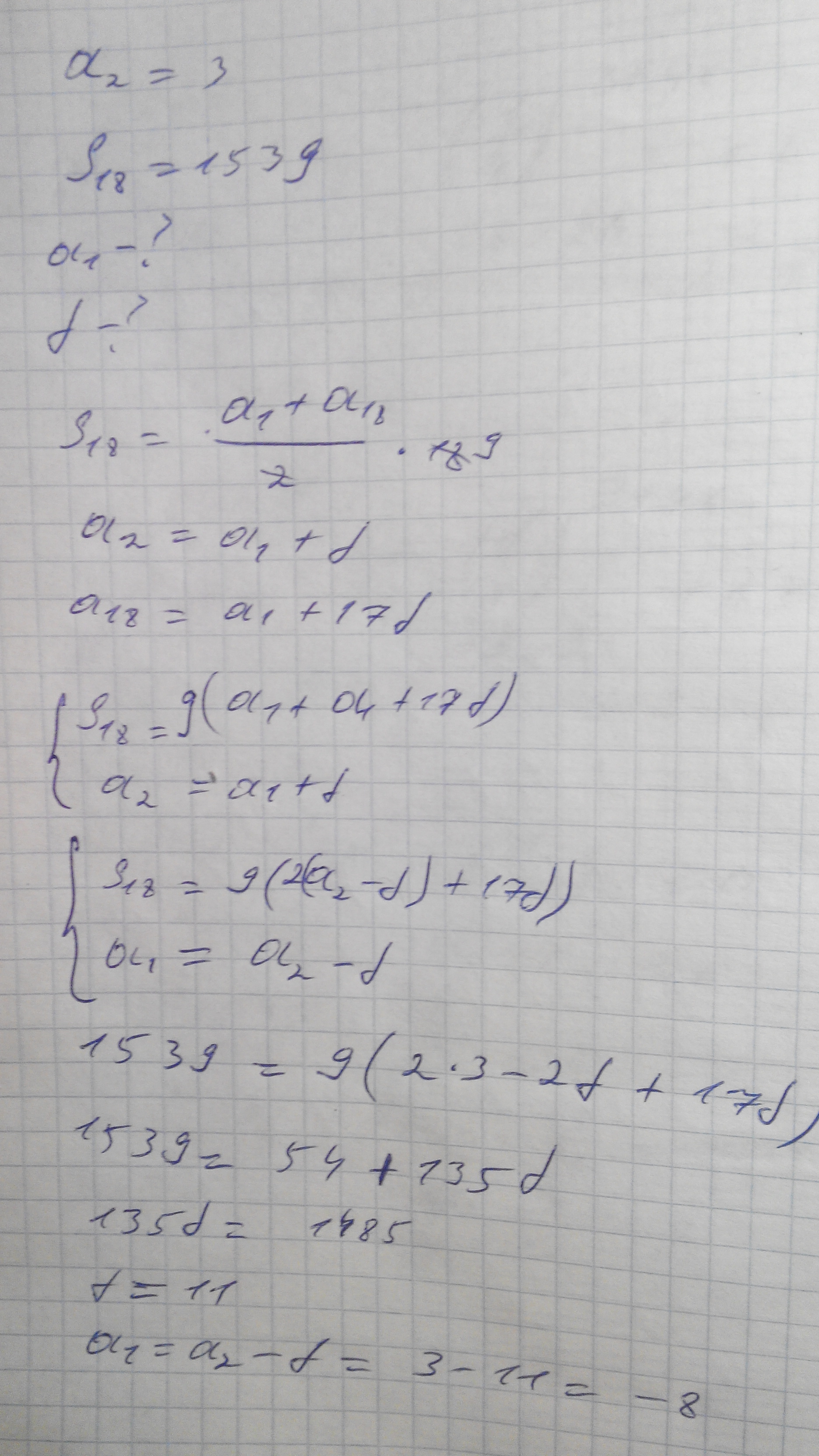
в арифметической прогрессии второй член равен 3,а сумма 18 первых членов равна 1539. найдите первый член и разносить прогрессии

Ответы

Ответ дал: yura1247
0
d - разность прогрессии

Приложения:
Вас заинтересует