• Предмет: Химия
  • Автор: asdfghjklxvn
  • Вопрос задан 2 года назад

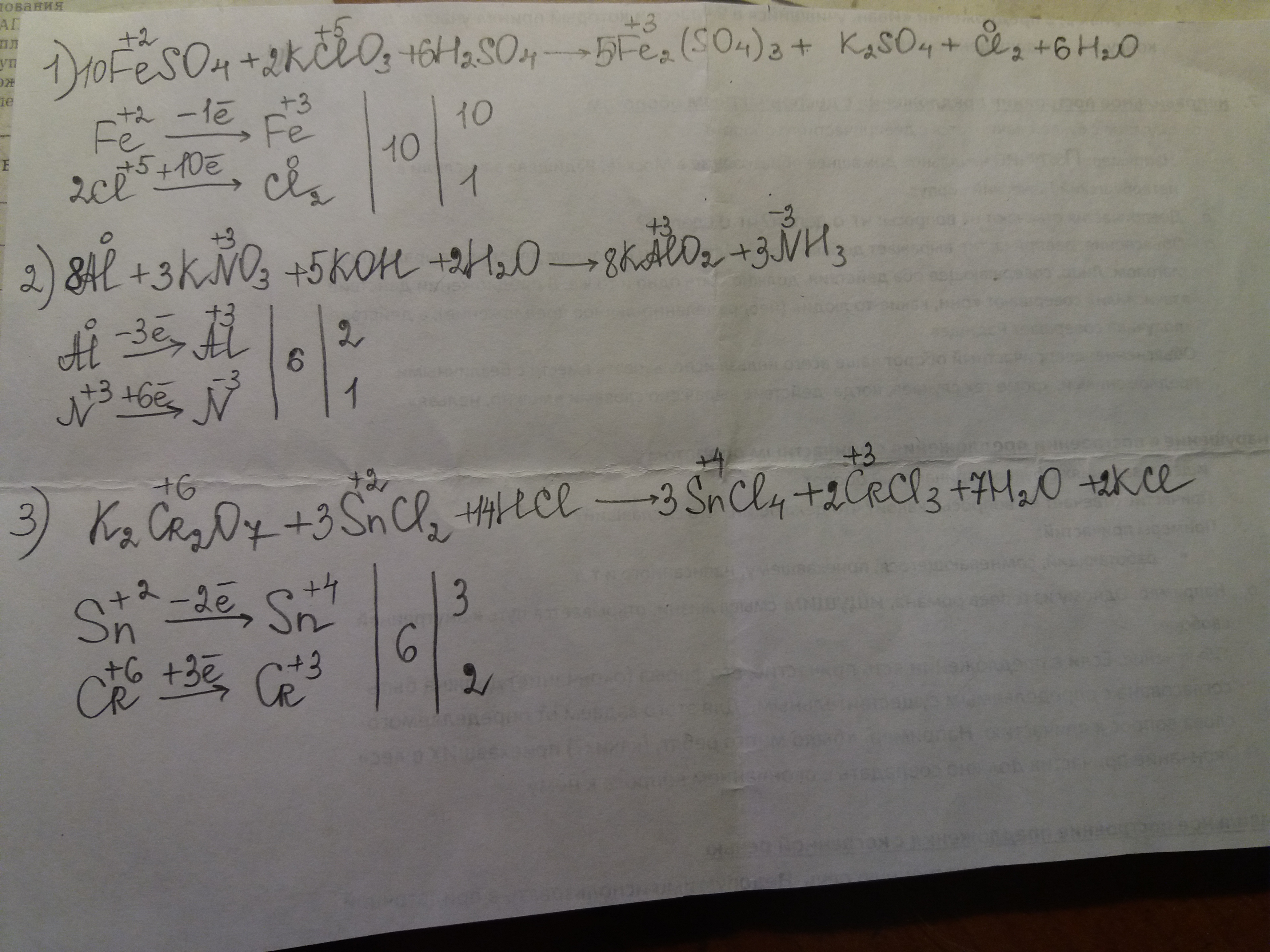
Расставьте коэффициенты в окислительно-восстановительных реакциях методом электронного баланса:

Приложения:

Ответы

Ответ дал: mckremlyova
0
************************
Приложения:
Вас заинтересует