Ответы
Ответ дал:
1
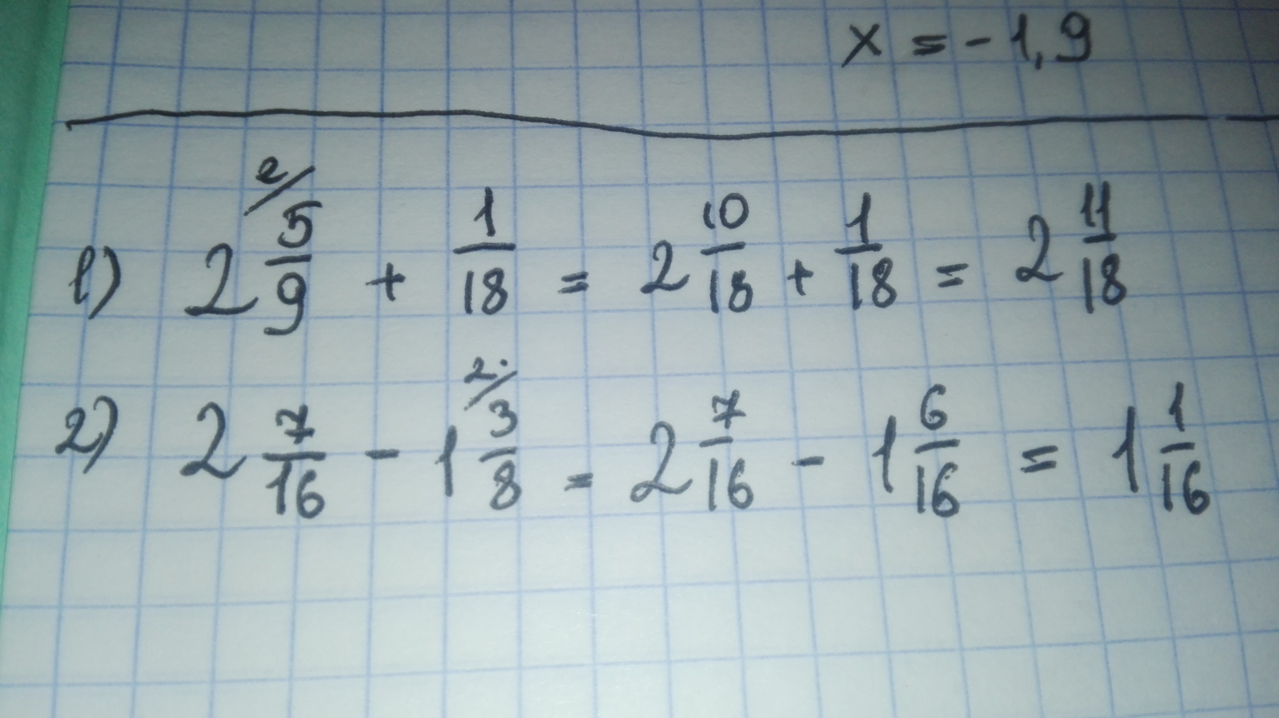
1)2 5/9+1/18=
=23/9+1/18=
=46/18+1/18=47/18= 2 11/18
2)2 7/16-1 3/8=
=39/16-11/8=
=39/16-22/16=17/16= 1 1/16
=23/9+1/18=
=46/18+1/18=47/18= 2 11/18
2)2 7/16-1 3/8=
=39/16-11/8=
=39/16-22/16=17/16= 1 1/16
Ответ дал:
1
Ответ на фото, писать тут лень
Приложения:
Вас заинтересует
2 года назад
2 года назад
2 года назад
3 года назад
3 года назад