• Предмет: Химия
  • Автор: tatyana1996
  • Вопрос задан 11 лет назад

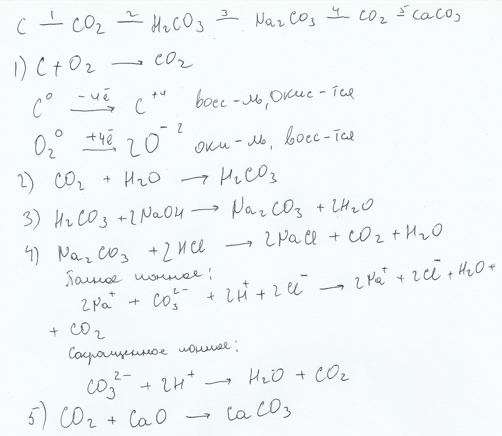
Помогите сделать цепочку превращения, (- это стрелочка) C-CO2-H2CO3-Na2CO3-CO2-CaCO3, реакция №1 ОВР, реакция №4-ТЭД

Ответы

Ответ дал: Нау4пок
0

Решение во вложении.

Приложения:
Вас заинтересует