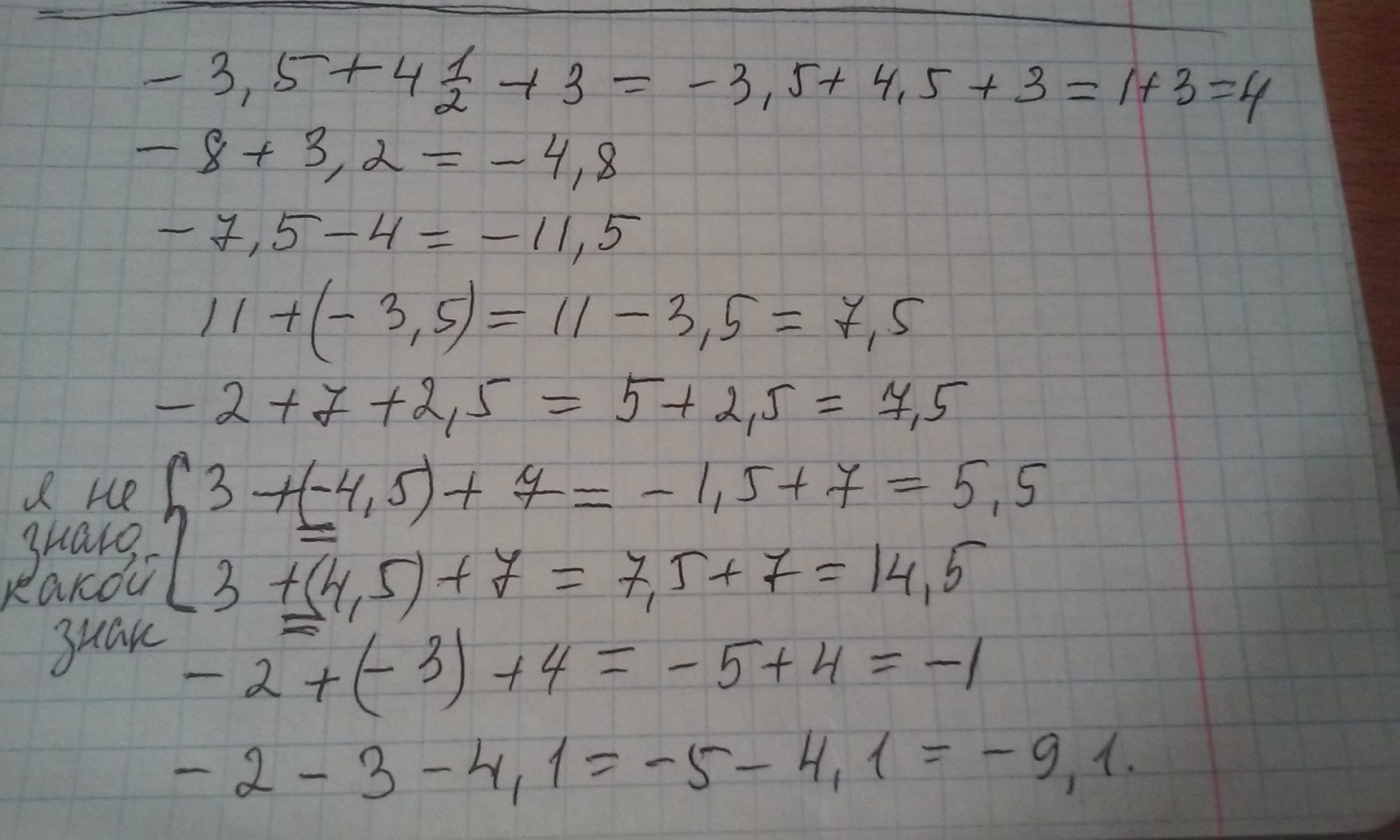
-3,5 + 4 1/2 +3
-8 + 3,2
-7,5 - 4
11 + (-3,5)
-2 + 7 + 2,5
3 +( 4,5) + 7
-2 + (-3) + 4
-2 - 3 - 4,1
Прошу решения
Ответы
Ответ дал:
0
-3,5 + 4 1/2 + 3 = -3,5 + 4,5 + 3 = 4
-8 + 3,2 = -4,8
-7,5 - 4 = -11,5
11 + *(-3,5) = 7,5
-2 + (-3) + 4 = -1
-2 - 3 - 4,1= -9,1
-8 + 3,2 = -4,8
-7,5 - 4 = -11,5
11 + *(-3,5) = 7,5
-2 + (-3) + 4 = -1
-2 - 3 - 4,1= -9,1
Ответ дал:
0
Решение в прикрепленном файле. У меня вопрос, у тебя в выражении 3+(4,5)+7 знак не пропечатался в скобках или это просто положительное число в скобках. Ну да вообщем прорешала оба варианта.
Приложения:
Ответ дал:
0
-4
Ответ дал:
0
Прости, напортачил
Ответ дал:
0
Бывает)
Вас заинтересует
2 года назад
2 года назад
3 года назад
3 года назад
9 лет назад
10 лет назад
10 лет назад