• Предмет: Математика
  • Автор: dgash44
  • Вопрос задан 9 лет назад

№3,7,8 Помогите, пожалуйста

Приложения:

Ответы

Ответ дал: justcall
0
№3. Упрощаем левую часть. В скобках хорошо бы увидеть формулу сокращенного умножения.
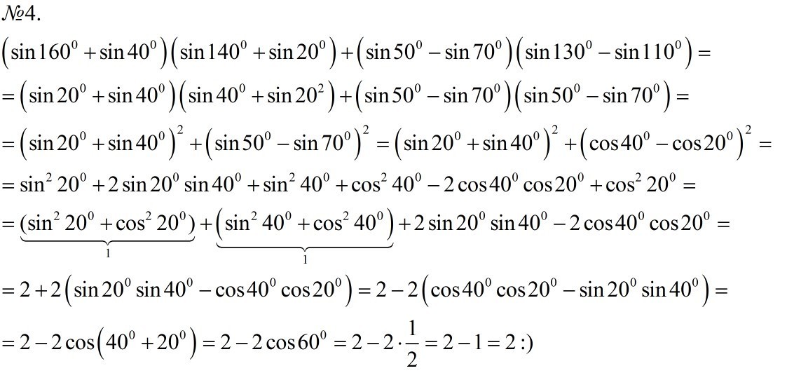
№4. Нужно знать формулы приведения 
Приложения:
Ответ дал: dgash44
0
Спасибо большое!
Ответ дал: oganesbagoyan
0
8. 1/sinα*cosα = 2/sin2α
Вас заинтересует