• Предмет: Математика
  • Автор: RudikRudolfovch
  • Вопрос задан 9 лет назад

Помогите пожалуйста. Все кроме 4 номера

Приложения:

Ответы

Ответ дал: justcall
0
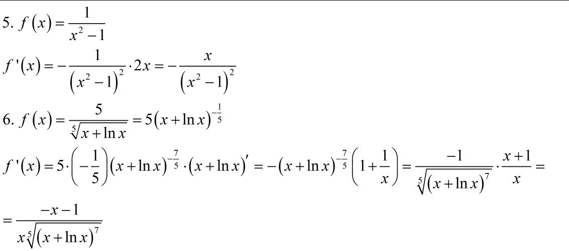
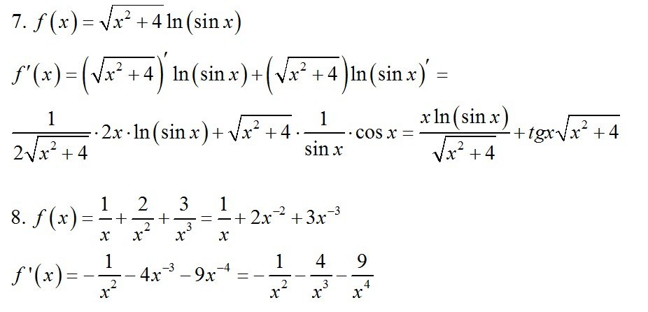
Решение №5-8 в прикрепленных файлах.
Приложения:
Вас заинтересует