• Предмет: Математика
  • Автор: jesmi
  • Вопрос задан 9 лет назад

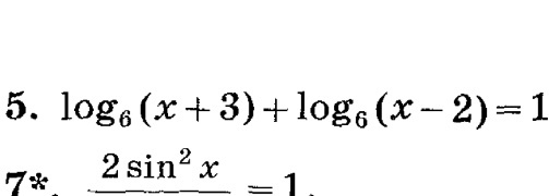
Помогите с решением неравенства пожалуйста под номером 2
И с решением уравнения

Приложения:

Ответа на этот вопрос пока нет. Попробуйте найти его через форму поиска.

Вас заинтересует