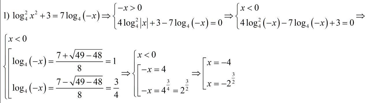
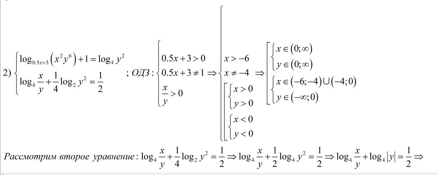
Ответы
Ответ дал:
0
.............................................................................................
Приложения:




Вас заинтересует
2 года назад
3 года назад
9 лет назад
10 лет назад