• Предмет: Математика
  • Автор: knopca35
  • Вопрос задан 9 лет назад

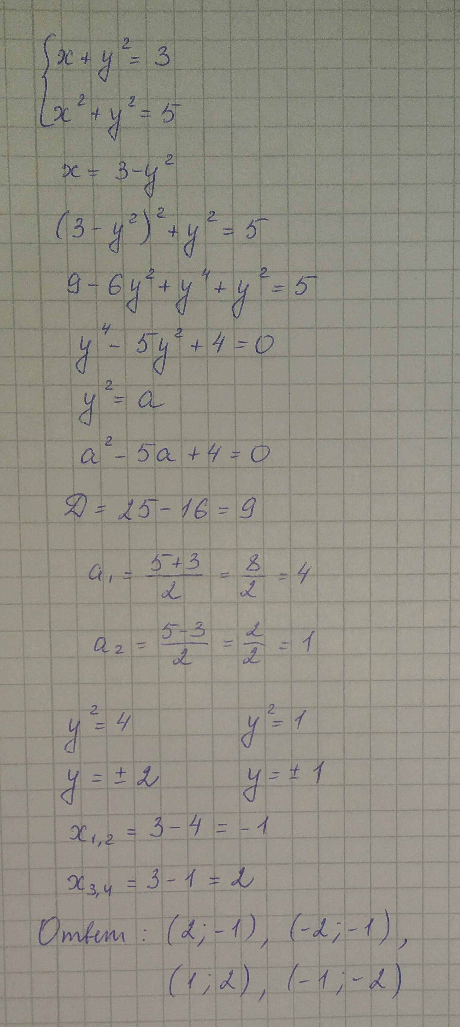
система  left { {{x+ y^{2}=3 } atop { x^{2} +y=5}} right. имеет четыре решения?

Ответы

Ответ дал: anna2501v
0
Ответ: система имеет четыре решения.
Решение прилагаю.
Приложения:
Вас заинтересует