Представьте в виде произведения многочленов первой степени: а)12x^3-22x^2-20x; б)80my^2-12my-8m. Очень нужно решите пожалуйста!
Ответы
Ответ дал:
0
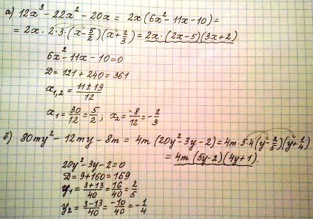
Решение в прикреплённом изображении
Приложения:

Ответ дал:
0
Спасибо!
Вас заинтересует
2 года назад
3 года назад
9 лет назад
10 лет назад
10 лет назад