помогите пожалуйста решить срочно надо номер 1024,1025 срочно надо пожалуйста даю все свои балы
Приложения:

Ответы
Ответ дал:
0
1024.
Подставим число вместо "х"
1.
9-2*(-3)>12
15>12 - верно
9-2*(-1,5)>12
12>12 -неверно
9-2*2>12
5>12 - неверно
Ответ: только -3
2.
-2<7 - верно
19<7 - неверно
7<7 - неверно
4<7 - верно
Ответ: только 1 и 3
1025.
1.
[-6;∞)
[-4;∞)
[3,2;∞)
(2;∞)
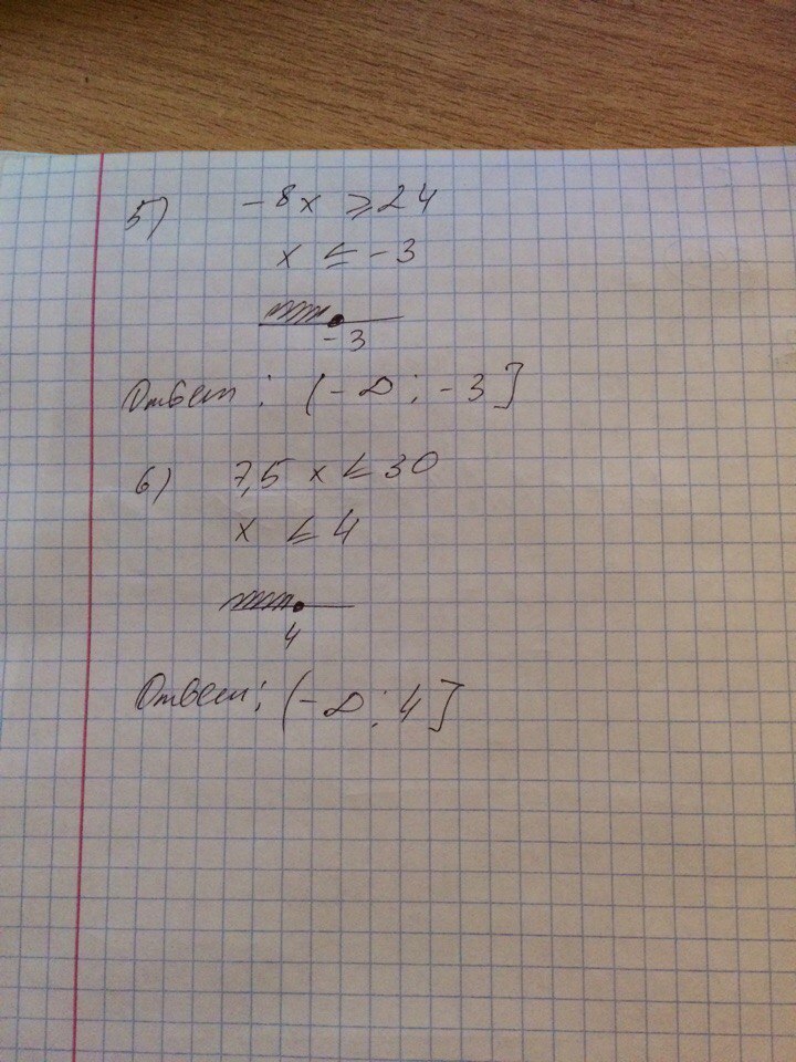
(-∞;-3]
(-∞;4]
Подставим число вместо "х"
1.
9-2*(-3)>12
15>12 - верно
9-2*(-1,5)>12
12>12 -неверно
9-2*2>12
5>12 - неверно
Ответ: только -3
2.
-2<7 - верно
19<7 - неверно
7<7 - неверно
4<7 - верно
Ответ: только 1 и 3
1025.
1.
[-6;∞)
[-4;∞)
[3,2;∞)
(2;∞)
(-∞;-3]
(-∞;4]
Приложения:


Вас заинтересует
2 года назад
2 года назад
3 года назад
9 лет назад
9 лет назад
10 лет назад