Ответы
Ответ дал:
0
Только что сверху? Или все нужны?
Приложения:


Ответ дал:
0
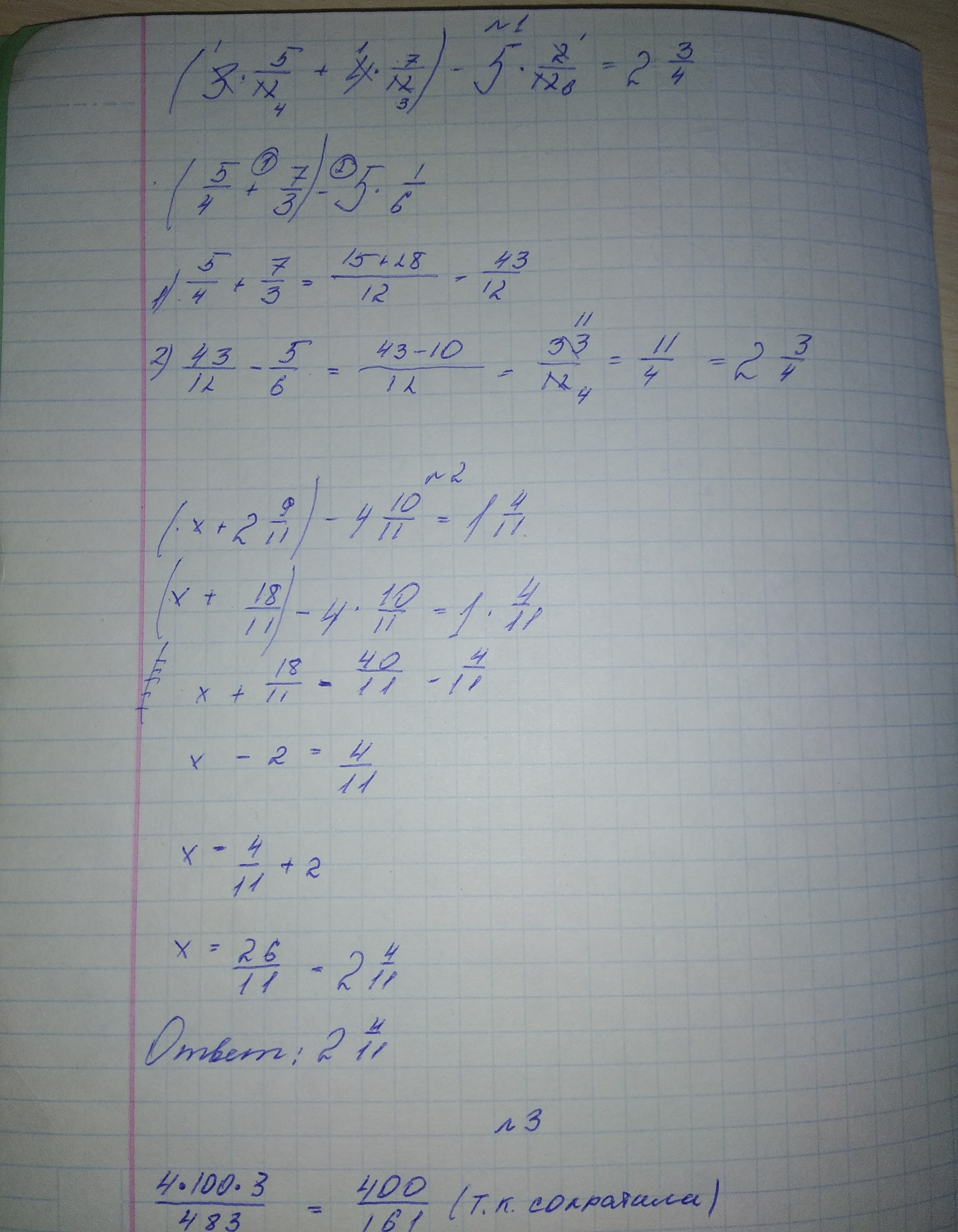
Один момент
Ответ дал:
0
всё в правильном порядке сверху вниз
выполните действия:а) 2 целых пять шестых,б)22 целых шесть пятых;
решите уравнение:х=3 целых пять одиннадцатых;
какие цифры нужно поставить вместо *
*=9.
выполните действия:а) 2 целых семь тринадцатых б) 6 целых три восьмых;
решите уравнение:х= 2 целых десять тринадцатых;
какие цифры нужно поставить вместо *
*=8,9.
решите уравнение: а) t=126, б) n=12, в)у=140,
г) х=2.
выполните действия:а) 2 целых пять шестых,б)22 целых шесть пятых;
решите уравнение:х=3 целых пять одиннадцатых;
какие цифры нужно поставить вместо *
*=9.
выполните действия:а) 2 целых семь тринадцатых б) 6 целых три восьмых;
решите уравнение:х= 2 целых десять тринадцатых;
какие цифры нужно поставить вместо *
*=8,9.
решите уравнение: а) t=126, б) n=12, в)у=140,
г) х=2.
Приложения:


Вас заинтересует
2 года назад
2 года назад
3 года назад
3 года назад
9 лет назад
9 лет назад
10 лет назад
10 лет назад