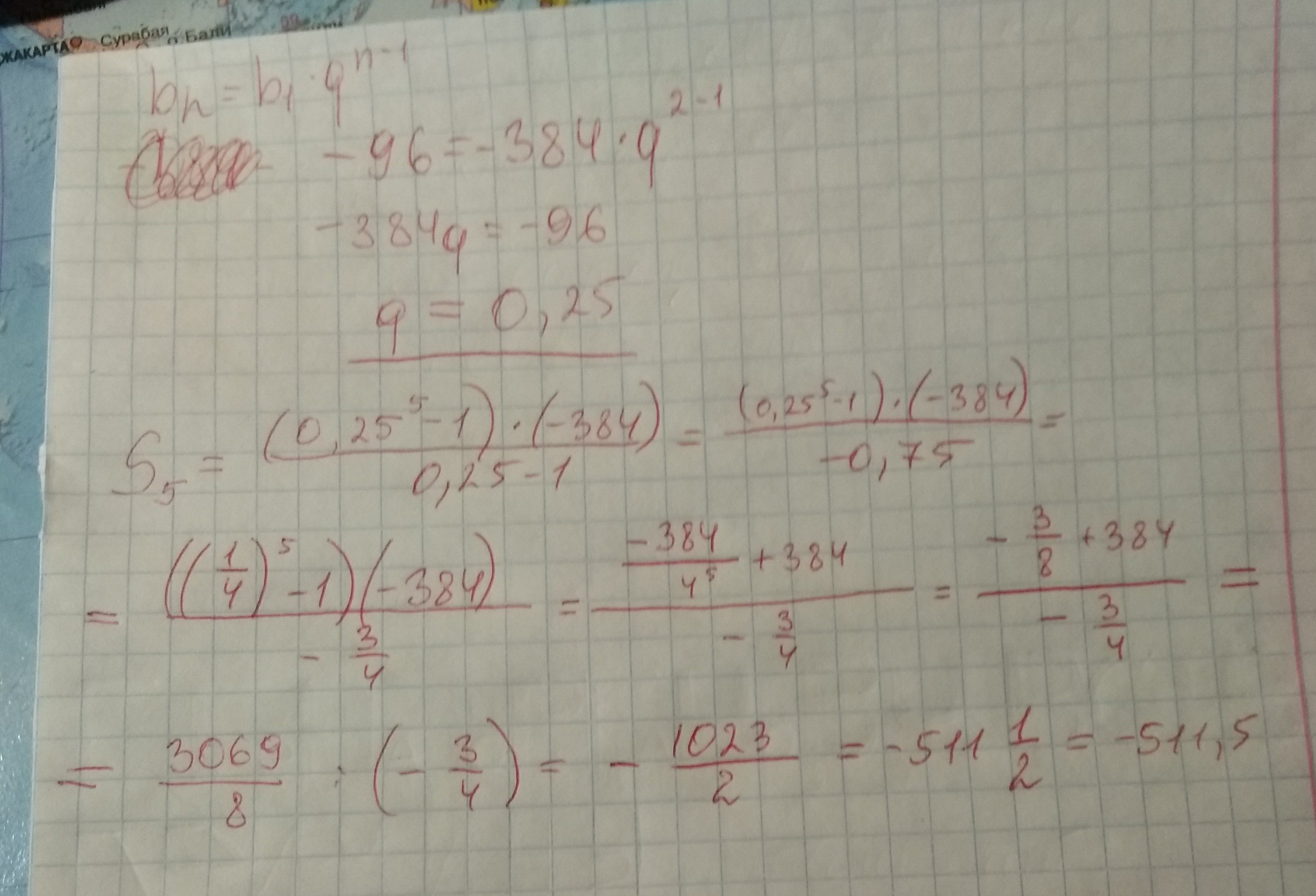
Выписаны первые несколько чисел геометрической прогрессии -384 -96 -24 Найдите сумму пяти её членов
Ответы
Ответ дал:
0
q = 0,25
S(5) = - 511,5
S(5) = - 511,5
Приложения:

Вас заинтересует
2 года назад
2 года назад
3 года назад
9 лет назад
9 лет назад
10 лет назад