• Предмет: Алгебра
  • Автор: PurpasovaKristin
  • Вопрос задан 9 лет назад

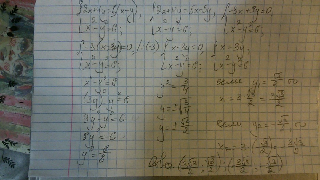
Решите систему уравнения:
{2x+4y=5(x-y),
{x^-y^=6

Ответы

Ответ дал: kamchan
0
Вот, держи. Надеюсь, я всё правильно решила.
Приложения:
Вас заинтересует