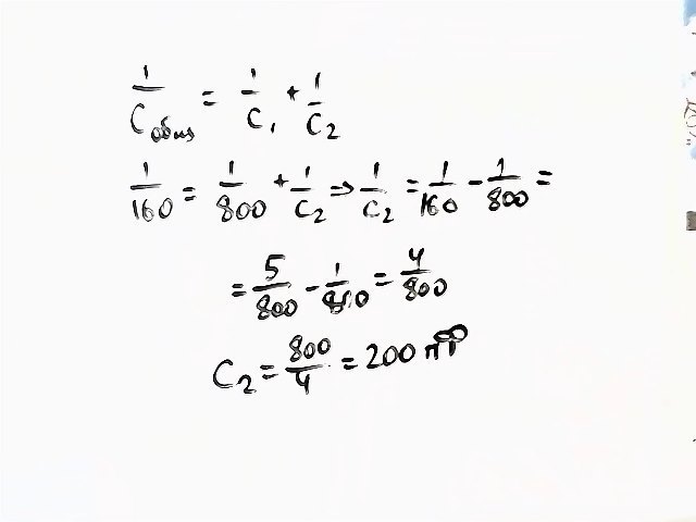
конденсация которой емкости надо подключить последовательно к конденсатора емкостью 800 пФ чтобы емкость батареи стала равной 160 пФ
Ответы
Ответ дал:
0
конденсация которой емкости надо подключить последовательно
Приложения:
Вас заинтересует
2 года назад
2 года назад
3 года назад
3 года назад
9 лет назад
9 лет назад
10 лет назад