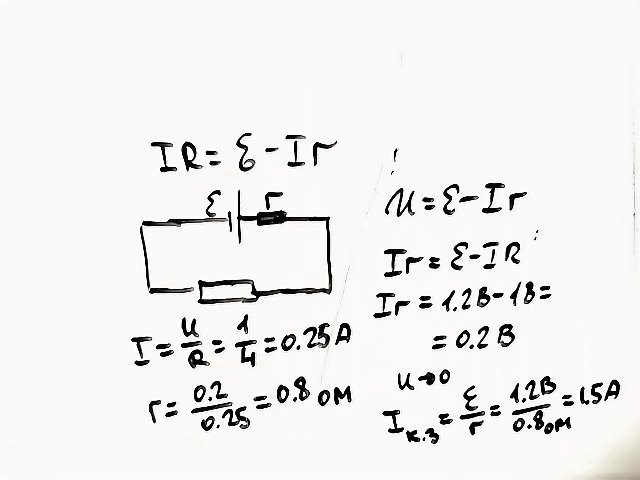
Резистор , сопротивление которого R=4 Ом, подключён к источнику тока. Определите силу тока короткого замыкания источника тока, если напряжение на резисторе U=1 В, а ЭДС источника тока 1,2 В.
Ответы
Ответ дал:
20
Резистор , сопротивление которого R=4 Ом, подключён к источнику тока.
Приложения:

Вас заинтересует
1 год назад
2 года назад
3 года назад
3 года назад
8 лет назад
8 лет назад