• Предмет: Алгебра
  • Автор: foxittoxic
  • Вопрос задан 9 лет назад

Решите пожалуйста ! Заранее спасибо !

Приложения:

Ответы

Ответ дал: SportSD
0
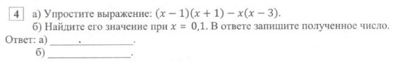
х^2-1-х^2+3х=3х-1
х=0,1
3•0,1-1=-0,7
Вас заинтересует