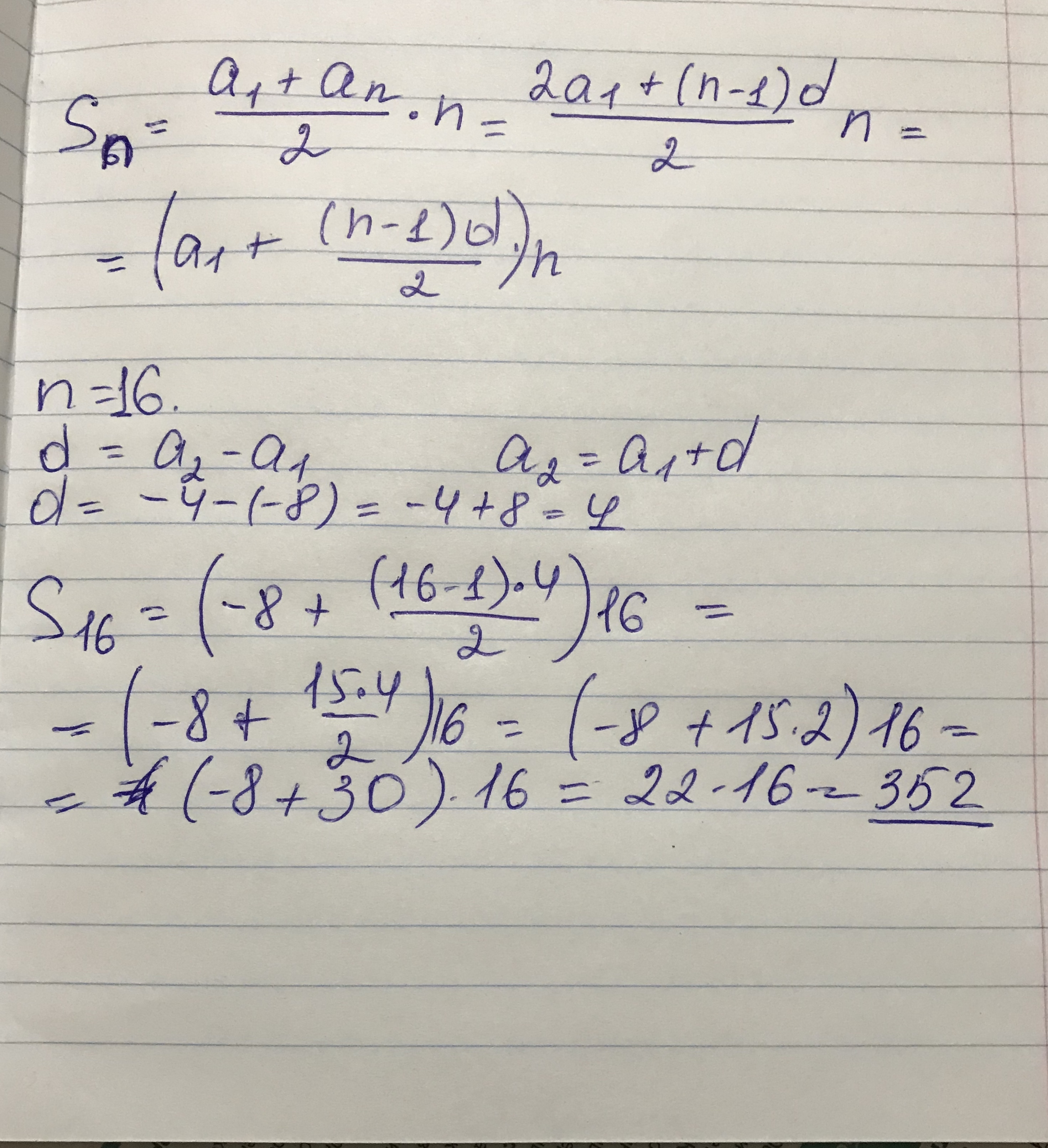
2.Найдите сумму шестнадцати первых членов арифметической прогрессии:
- 8; - 4; 0; … .
3.Найдите b7 член геометрической прогрессии, если b1 = - 0,25, q = - 0,2.
3.Найдите сумму первых пяти членов геометрической прогрессии, если b1 = 11, q = 2.
Нерешаемо
Ответы
Ответ дал:
2
Я написала формулы по которым находятся эти значения. Надеюсь все понятно вам будет.
Приложения:


Вас заинтересует
1 год назад
1 год назад
2 года назад
2 года назад
3 года назад
8 лет назад
8 лет назад