Ответы
Ответ дал:
0
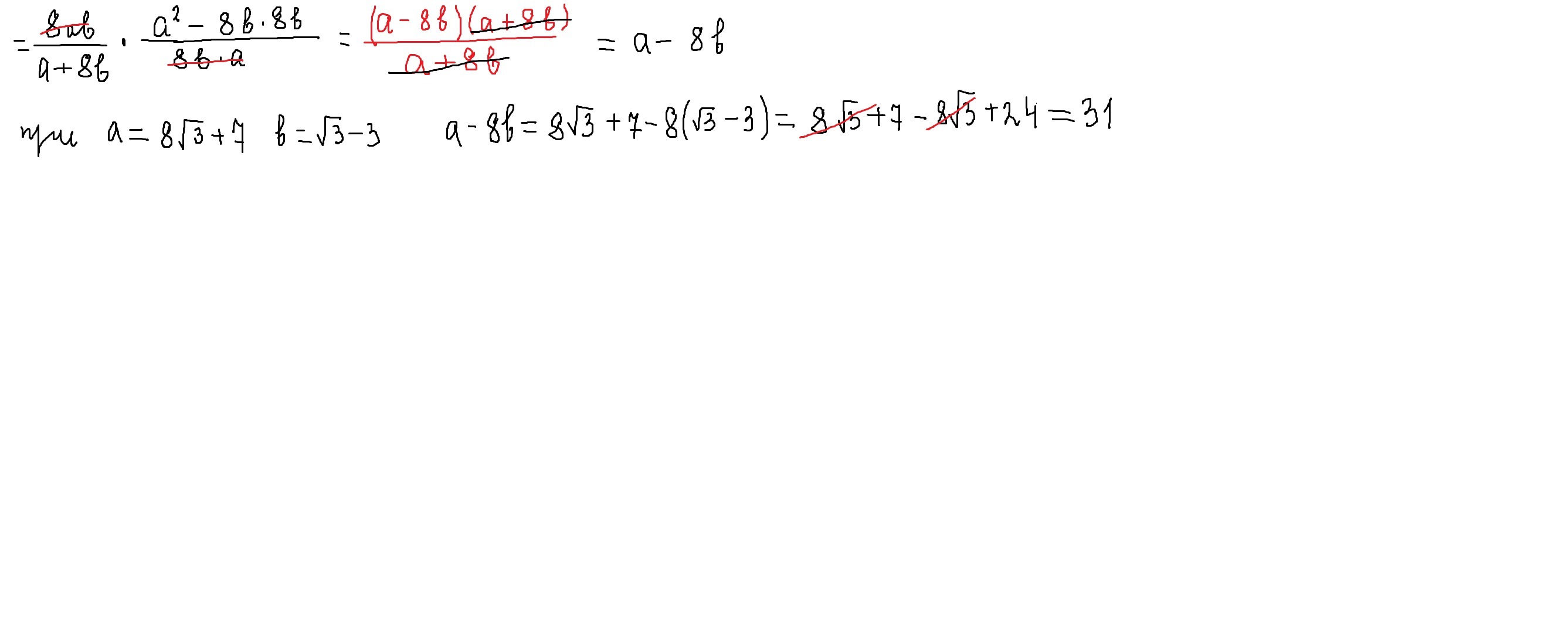
сначала упростили ,а потом применили формулу а²-в²=(а-в)(а+в),ну и подставили значения а и в
Приложения:

Вас заинтересует
3 года назад
3 года назад
10 лет назад