Ответы
Ответ дал:
0
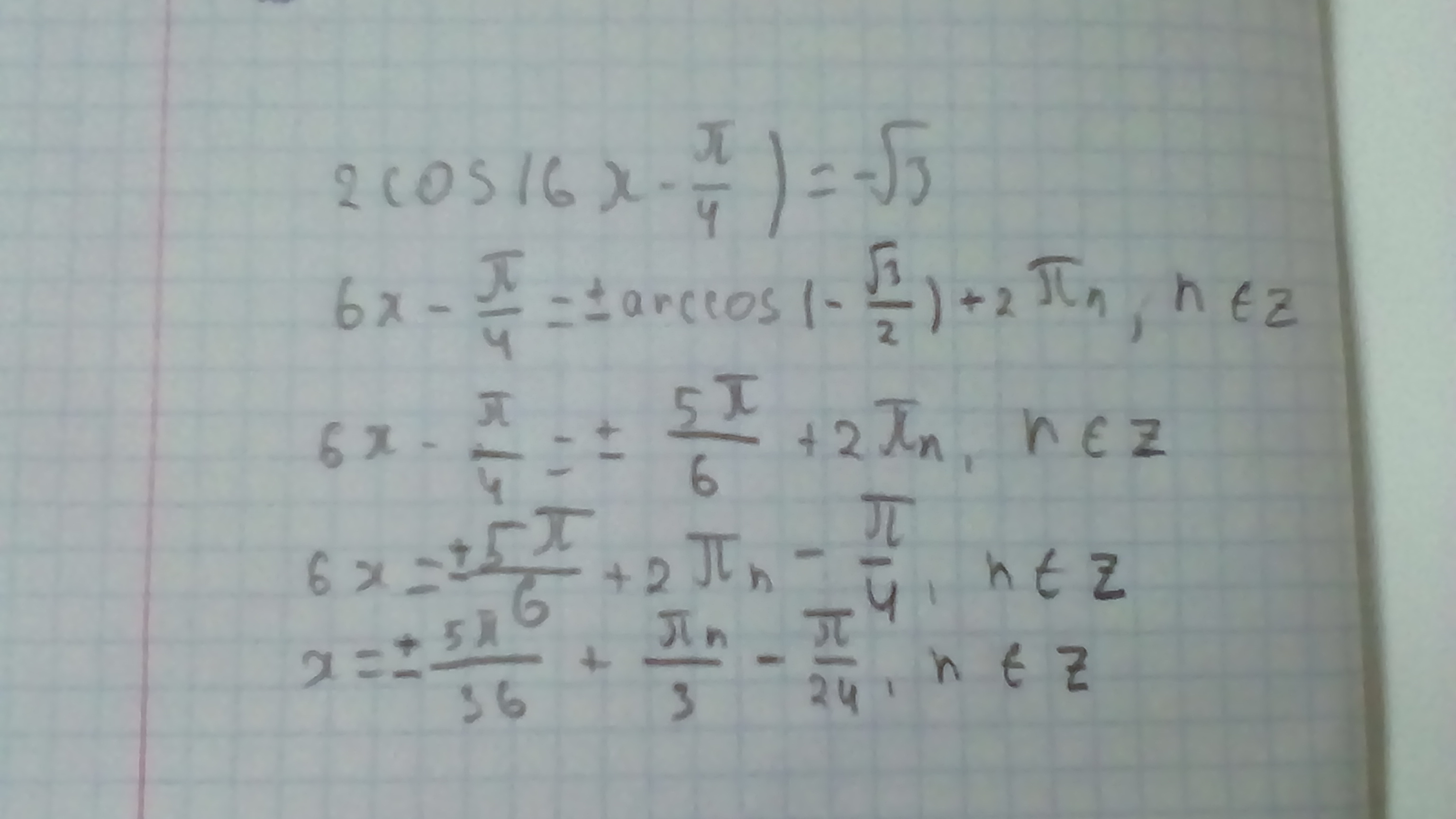
Вот так вот я решил и ещё что то чтобы набить двадцать символов и отправить решение
Приложения:

Вас заинтересует
2 года назад
2 года назад
3 года назад
9 лет назад
9 лет назад
10 лет назад