Ответы
Ответ дал:
0
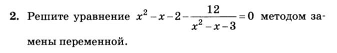
нужно произвести замену, пусть х^2-х-3=а;
а+1-12/а=0, умножаем на а;
а^2+а-12=0;
а^2+4а-3а-12=0;
а(а+4)-3(а+4)=0;
(а+4)(а-3)=0;
а1=-4; а2=3;
делаем обратную замену:
1) х^2-х-3=-4;
х^2-х+1=0; приведем к полному квадрату ;
х^2-2*1/2х+1/4-1/4+1=0;
(х-1/2)^2=-3/4 уравнение не имеет корней;
2) х^2-х-3=3;
х^2-х-6=0;
х^2-3х+2х-6=0;
х(х-3)+2(х-3)=0;
(х-3)(х+2)=0;
х1=3; х2=-2.
а+1-12/а=0, умножаем на а;
а^2+а-12=0;
а^2+4а-3а-12=0;
а(а+4)-3(а+4)=0;
(а+4)(а-3)=0;
а1=-4; а2=3;
делаем обратную замену:
1) х^2-х-3=-4;
х^2-х+1=0; приведем к полному квадрату ;
х^2-2*1/2х+1/4-1/4+1=0;
(х-1/2)^2=-3/4 уравнение не имеет корней;
2) х^2-х-3=3;
х^2-х-6=0;
х^2-3х+2х-6=0;
х(х-3)+2(х-3)=0;
(х-3)(х+2)=0;
х1=3; х2=-2.
Вас заинтересует
2 года назад
2 года назад
3 года назад
3 года назад
9 лет назад
9 лет назад
10 лет назад