Ответы
Ответ дал:
0
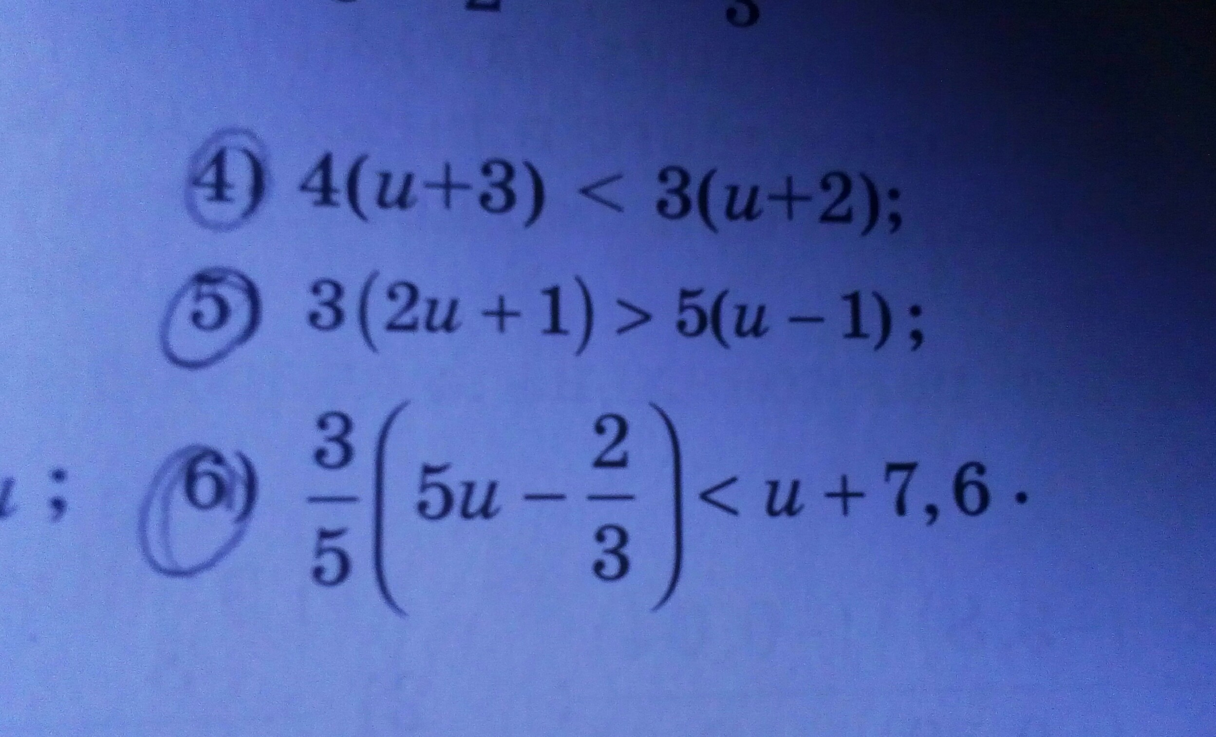
4и+12 меньше 3и+6
4и-3и меньше6-12
и меньше -6
5)
6и+3 больше 5и-5
6и-5и больше -5-3
и больше -2
6)
(3/5) 5и -(3/5)(2/3) меньше и +7.6
3и-2/5 меньше и+7.6
3и-и меньше 7.6+0.4
2и меньше 8
и меньше 4
4и-3и меньше6-12
и меньше -6
5)
6и+3 больше 5и-5
6и-5и больше -5-3
и больше -2
6)
(3/5) 5и -(3/5)(2/3) меньше и +7.6
3и-2/5 меньше и+7.6
3и-и меньше 7.6+0.4
2и меньше 8
и меньше 4
Вас заинтересует
2 года назад
2 года назад
3 года назад
3 года назад
9 лет назад
10 лет назад