Ответы
Ответ дал:
0
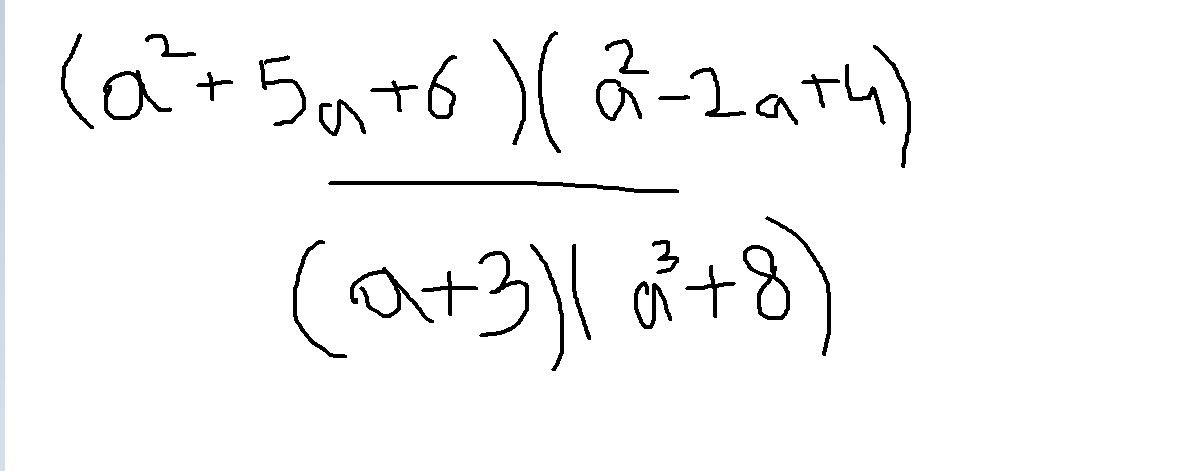
1) a² + 5a + 6 = (a+2)(a+3)
a³ + 8 = (a + 2)(a² - 2a + 4) =>

a³ + 8 = (a + 2)(a² - 2a + 4) =>
Ответ дал:
0
ответ должен быть 5
Ответ дал:
0
как 5???
Ответ дал:
0
может от другой задачи 5?
Ответ дал:
0
хз вроде бы от этой
Ответ дал:
0
для 2 вроде как ответ (а/b)^2
Вас заинтересует
2 года назад
3 года назад
9 лет назад
9 лет назад