Ответы
Ответ дал:
0
ДАНО:
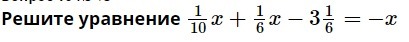
1/10х + 1/6х – 3 1/6 = – х
РЕШЕНИЕ:
1/10х + 1/6х – 19/6 = – х
3х + 5х – 95 = – 30х
8х – 95 = – 30х
8х + 30х = 95
38х = 95
х = 5/2
х = 2 1/2
ОТВЕТ: х = 2 1/2.
1/10х + 1/6х – 3 1/6 = – х
РЕШЕНИЕ:
1/10х + 1/6х – 19/6 = – х
3х + 5х – 95 = – 30х
8х – 95 = – 30х
8х + 30х = 95
38х = 95
х = 5/2
х = 2 1/2
ОТВЕТ: х = 2 1/2.
Вас заинтересует
2 года назад
2 года назад
3 года назад
3 года назад
9 лет назад
9 лет назад