• Предмет: Геометрия
  • Автор: ismanshaxnoza
  • Вопрос задан 9 лет назад

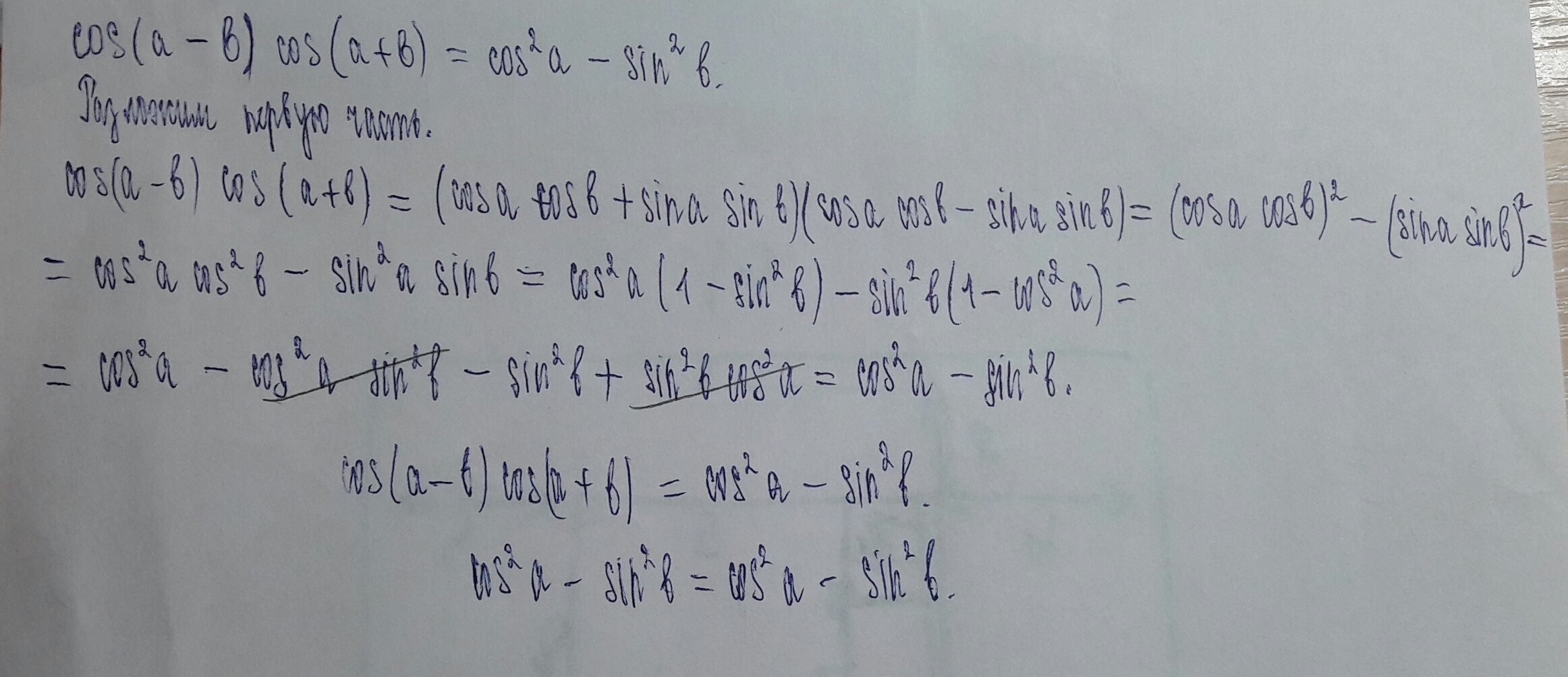
косинус(альфа-бетта)косинус(альфа+бетта)=косинус квадратальфа-синус квадрат бетта
надо приравнять помогите

Ответы

Ответ дал: victorianfiend
0
Решение я расписал на листочке.
Приложения:
Вас заинтересует