Ох, привет, Знания.com! Прошу, помогите мне с домашним заданием, я не очень сильна в алгебре и с моей рассеянностью я всегда делаю ошибки. Прошу, добрые люди, помогите мне! Задание внизу. Нужно решить 8 примеров, желательно полностью, еще лучше все это решить на бумаге. Заранее спасибо ^ ^
Приложения:


Ответы
Ответ дал:
0
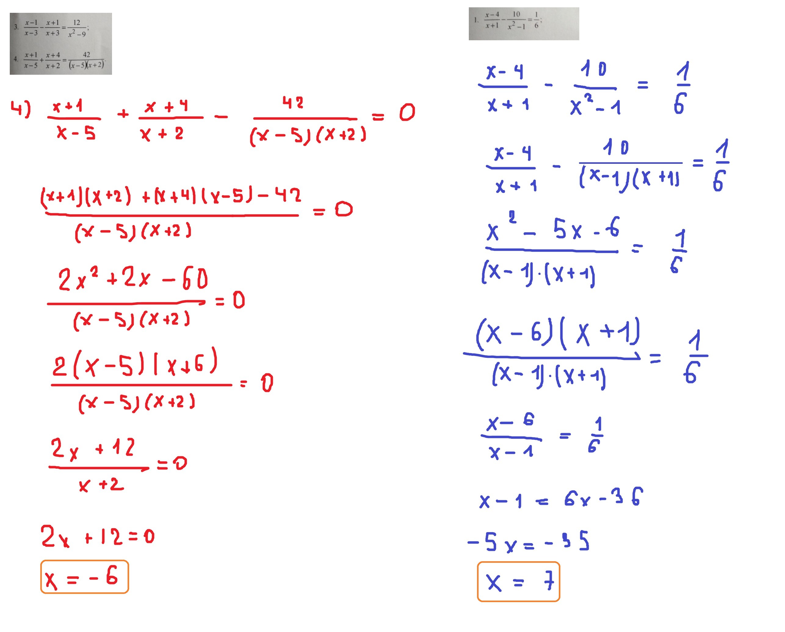
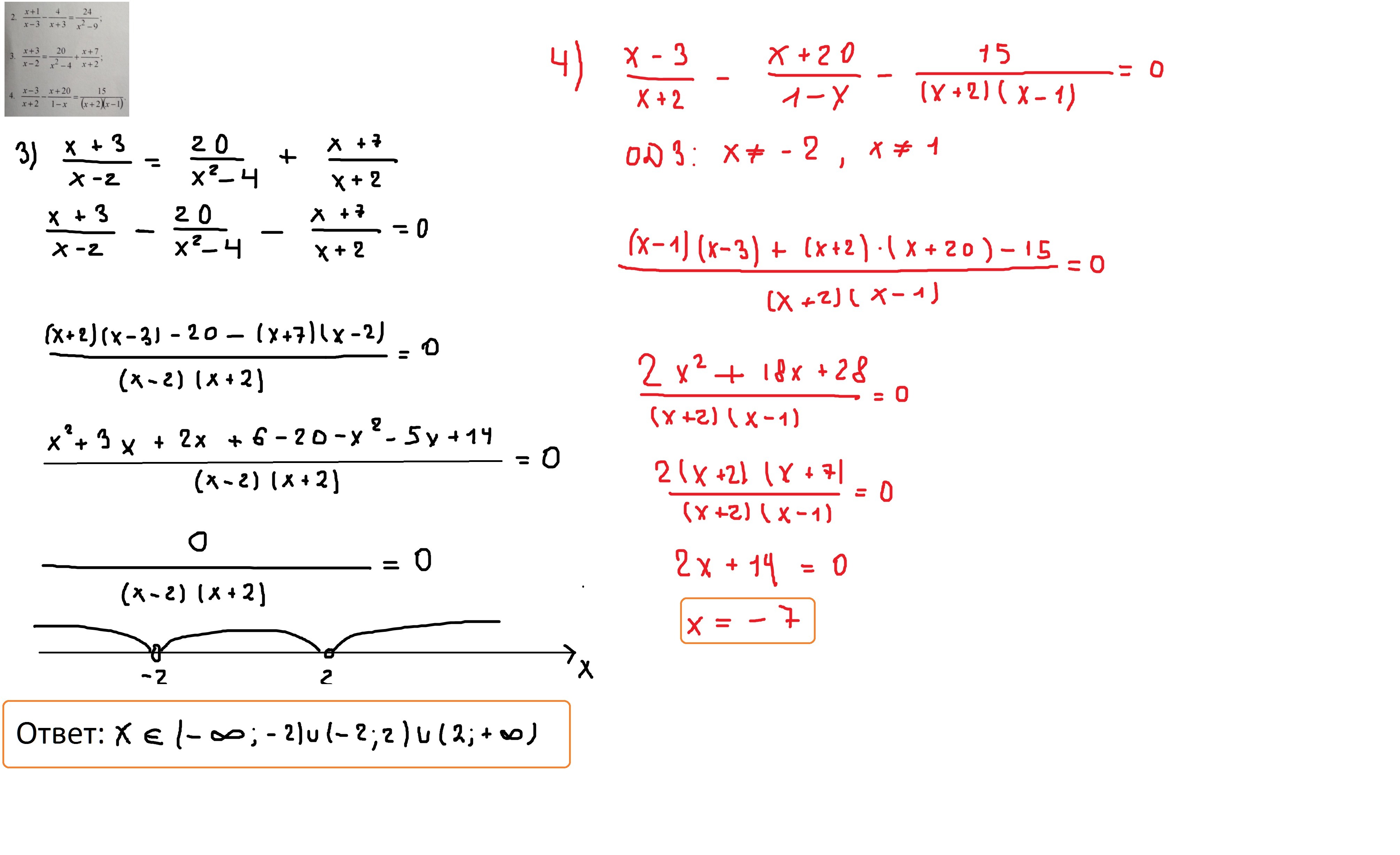
Готово! Ответ на фото: (в варианте 22 не решил третье уравнение, а в варианте 26 - второе уравнение, так как в этих уравнениях нет корней, возможно опечатка в условии), ((всего 3 фото))):
Приложения:



Ответ дал:
0
Спасибо большое! Вы спасли меня!
Ответ дал:
0
Пожалуйста.
Вас заинтересует
2 года назад
3 года назад
9 лет назад
10 лет назад