• Предмет: Алгебра
  • Автор: киса711
  • Вопрос задан 2 года назад

помогите!!!! объясните как делать с рисунком пожалуйста
#598

Приложения:

Ответы

Ответ дал: Romzes1661
1
удачи, желаю успехов))))
Приложения:
Ответ дал: parus77
1
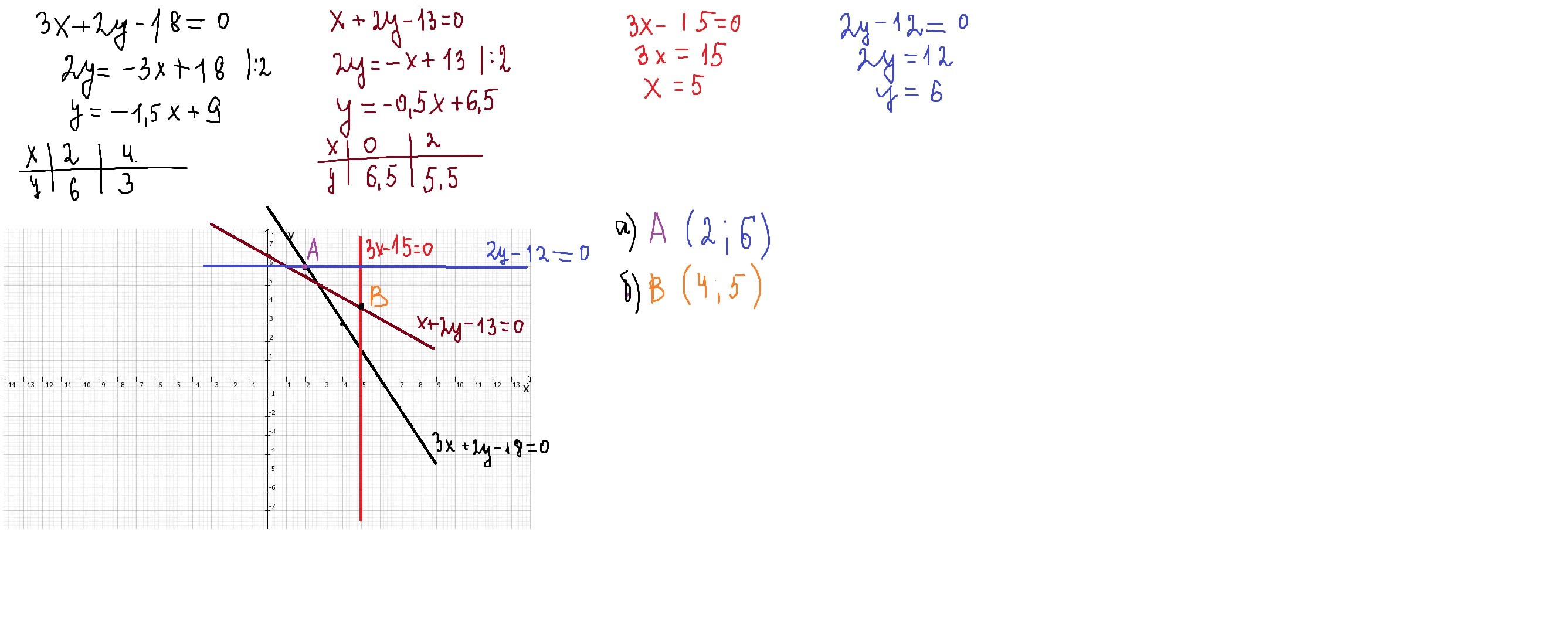
выразим у через х и построим прямые
Приложения:
Вас заинтересует