1) Решить уравнения (что на картинке)
2) Катер проплыл 30 км по течению реки и 13 км против течения, затратив на весь путь 1 ч 30 мин. Какова собственная скорость катера, если скорость течения реки равна 2 км/ч?
Приложения:

Ответы
Ответ дал:
0
1.
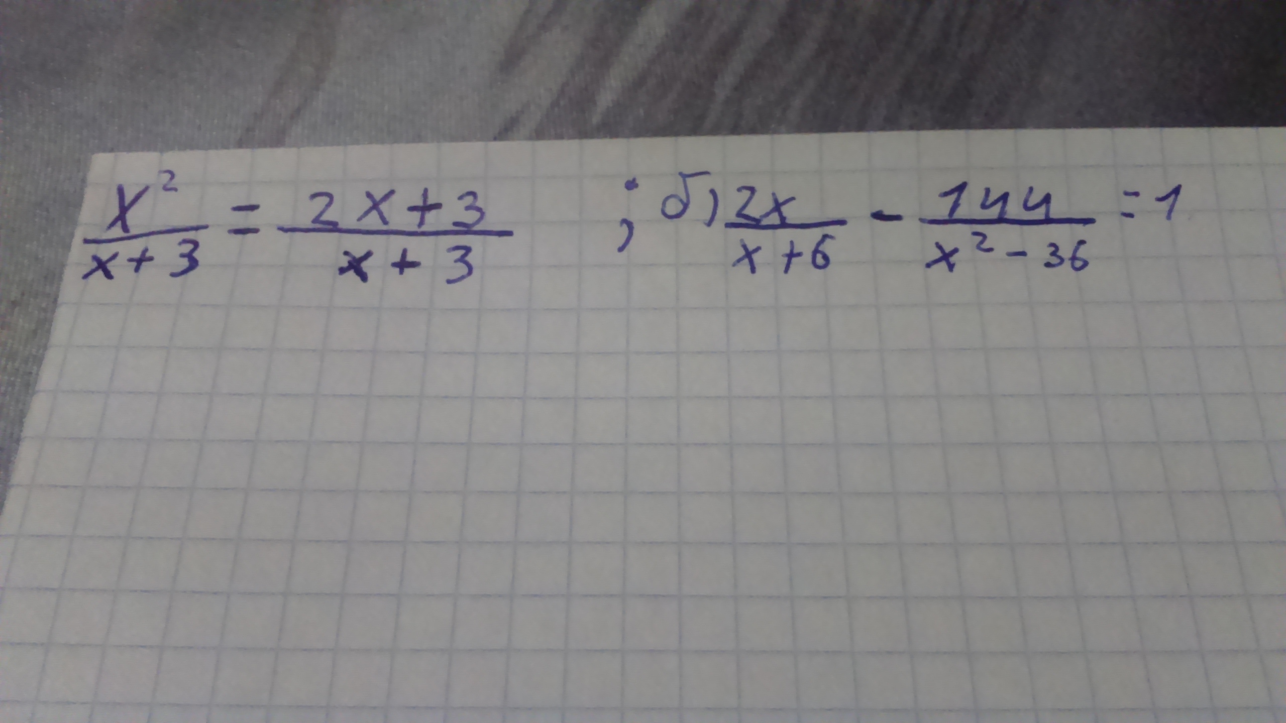
а) (х²)/(х+3)=(2х+3)/(х+3)
ОДЗ:х≠-3
х²=2х+3
х²-2х-3=0
х=3; х=-1
Ответ: -1; 3.
б)(2х)/(х+6) - (144)/(х²-36)=1
(2х)(х-6)/(х²-36) - 144/(х²-36)=(х²-36)/(х²-36)
ОДЗ:
х≠±6
2х²-12х-144=х²-36
х²-12х-108=0
х=18; х=-6
Ответ: 18.
2.
Пусть х— собственная скорость катера, тогда х+2 — его скорость по течению, а х-2 — против. 1ч30мин=1,5ч. составим уравнение:
30/(х+2) +13/(х-2)=1,5
30(х-2)/(х²-4) + 13(х+2)/(х²-4) =(1,5х²-6)/(х²-4)
ОДЗ:
х≠±2
30х-30+13х+26=1,5х²-6
х=⅔; х=28.
Ответ : ⅔ км/ч или 28 км/ч.
а) (х²)/(х+3)=(2х+3)/(х+3)
ОДЗ:х≠-3
х²=2х+3
х²-2х-3=0
х=3; х=-1
Ответ: -1; 3.
б)(2х)/(х+6) - (144)/(х²-36)=1
(2х)(х-6)/(х²-36) - 144/(х²-36)=(х²-36)/(х²-36)
ОДЗ:
х≠±6
2х²-12х-144=х²-36
х²-12х-108=0
х=18; х=-6
Ответ: 18.
2.
Пусть х— собственная скорость катера, тогда х+2 — его скорость по течению, а х-2 — против. 1ч30мин=1,5ч. составим уравнение:
30/(х+2) +13/(х-2)=1,5
30(х-2)/(х²-4) + 13(х+2)/(х²-4) =(1,5х²-6)/(х²-4)
ОДЗ:
х≠±2
30х-30+13х+26=1,5х²-6
х=⅔; х=28.
Ответ : ⅔ км/ч или 28 км/ч.
Вас заинтересует
3 года назад
3 года назад
9 лет назад
10 лет назад