• Предмет: Геометрия
  • Автор: школаномер251
  • Вопрос задан 9 лет назад

Пожалуйста решите уравнения ❤❤❤❤
Заранее благодарю

Приложения:

Ответы

Ответ дал: angelinabrvk
0
1 ) 4*(2х-5)-9(5-х)=6*(х+2)
8х-20-45+9х=6х+12
8х+9х-6х=12+20+45
11х=77
х=77:11
х=7

Ответ дал: школаномер251
0
А остальные?
Ответ дал: СашLike
0
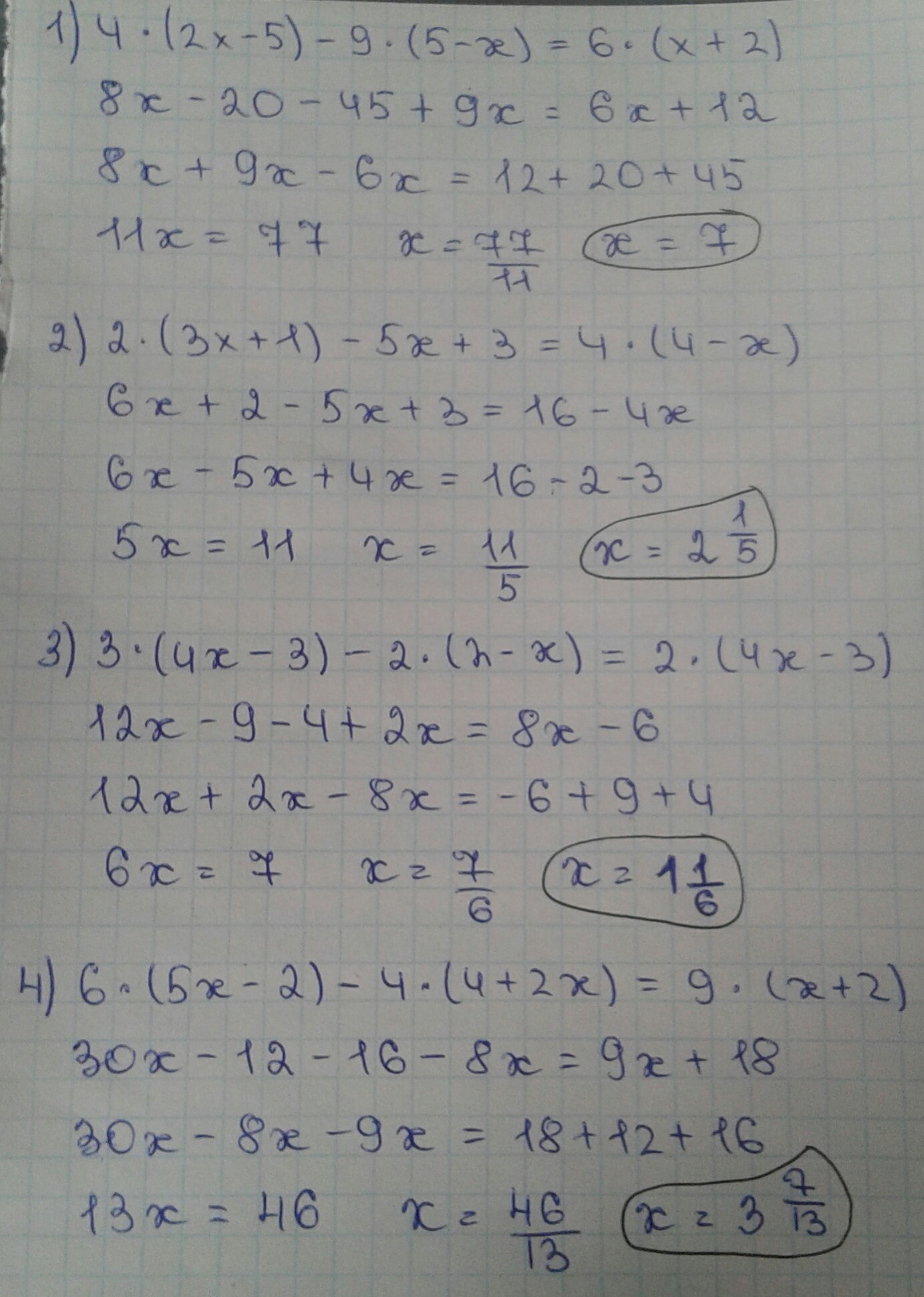
Все уравнения решила. Уверена в их правильности.
Приложения:
Ответ дал: школаномер251
0
Спасибо большое ❤❤❤❤❤❤❤
Ответ дал: школаномер251
0
Ты очень помогала мне
Ответ дал: школаномер251
0
я очень благодарена ❤❤❤❤
Вас заинтересует