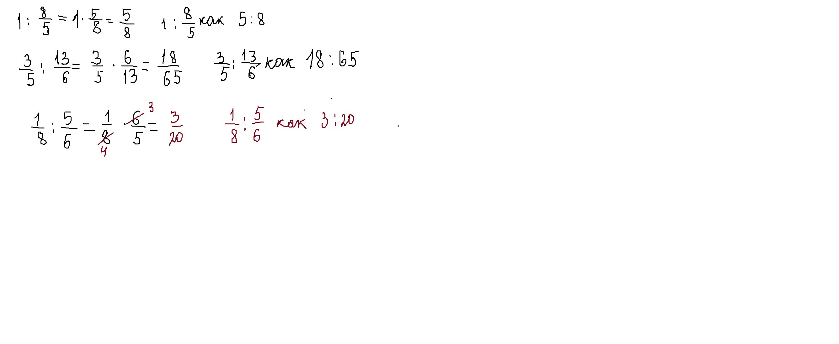
Замените отношение дробных чисел отношением натуральных чисел
1)1 : 8/5
2)3/5 : 13/6
3)1/8 : 5/6
Ответы
Ответ дал:
0
для этого надо выполнить деление
Приложения:

Ответ дал:
0
cgc
Ответ дал:
0
спс
Вас заинтересует
2 года назад
2 года назад
3 года назад
9 лет назад
10 лет назад