• Предмет: Алгебра
  • Автор: aliganrus
  • Вопрос задан 9 лет назад

Разложите на множители ПОЖАЛУЙСТА

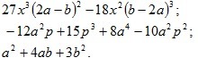
Приложения:

Ответы

Ответ дал: yuliya55555555555100
0
9x²(2a-b)²(3x+4a-2b);
4a²(-3p+2)5p²(p-2a²);
(a+b)(a+3b).
Вас заинтересует