• Предмет: Алгебра
  • Автор: Batkoshvili
  • Вопрос задан 9 лет назад

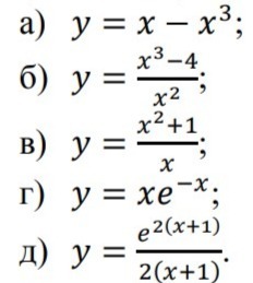
Найти точки экстремума

Приложения:

Ответы

Ответ дал: danial22
0
Я думаю Г или В 50-50
Вас заинтересует