Ответы
Ответ дал:
0
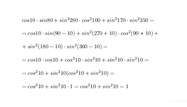
См. ответ во вложении ........................................................................
Приложения:

Ответ дал:
0
?.
Ответ дал:
0
Да
Ответ дал:
0
Только условие точно спиши
Ответ дал:
0
ок
Ответ дал:
0
решите и я отмечу вас как лутший там и тут и вам будет ещё 40.балов
Вас заинтересует
3 года назад
3 года назад
9 лет назад
10 лет назад