Ответы
Ответ дал:
0
// PascalABC.NET 3.3, сборка 1633 от 10.02.2018
// Внимание! Если программа не работает, обновите версию!
begin
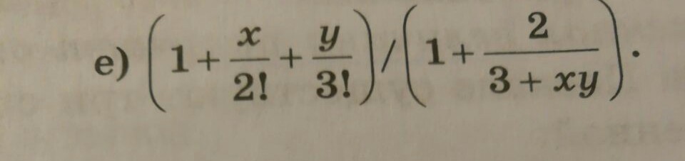
var (x,y):=ReadReal2('Введите через пробел x,y:');
Writeln((1+x/2+y/(2*3))/(1+2/(3+x*y)))
end.
Пример
Введите через пробел x,y: 8.4 -0.12
2.58480961923848
// Внимание! Если программа не работает, обновите версию!
begin
var (x,y):=ReadReal2('Введите через пробел x,y:');
Writeln((1+x/2+y/(2*3))/(1+2/(3+x*y)))
end.
Пример
Введите через пробел x,y: 8.4 -0.12
2.58480961923848
Вас заинтересует
2 года назад
2 года назад
3 года назад
3 года назад
9 лет назад
9 лет назад
10 лет назад