Ответы
                                            Ответ дал: 
                                                                                    
                                        
                                            
                                                
                                                
                                                
                                                    0
                                                
                                            
                                        
                                    
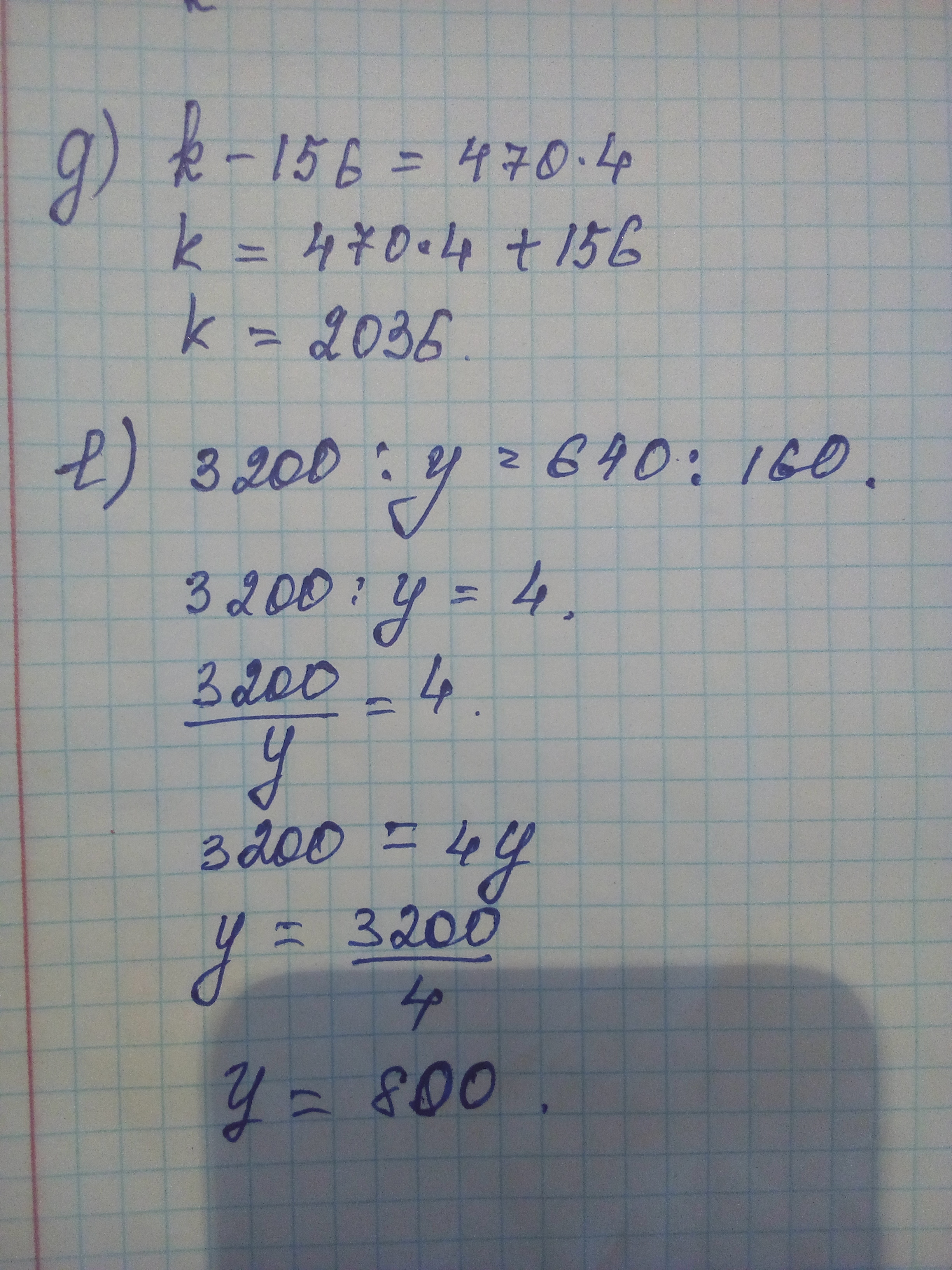
                                        к-156=470*4
к-156=1880
к=1880+156
к=2036
3200/у=640/160
3200/у=4
у=3200/4
у=800
                                        
                                        
                                к-156=1880
к=1880+156
к=2036
3200/у=640/160
3200/у=4
у=3200/4
у=800
                                            Ответ дал: 
                                                                                    
                                        
                                            
                                                
                                                
                                                
                                                    0
                                                
                                            
                                        
                                    
                                        Ответ. И решение данных примеров
                                    
                                                Приложения:
                    
                            Вас заинтересует
                
                        2 года назад
                    
                
                        2 года назад
                    
                
                        3 года назад
                    
                
                        3 года назад
                    
                
                        9 лет назад
                    
                
                        9 лет назад
                    
                
                        10 лет назад